【药物名称】TP-1202
化学结构式(Chemical Structure):
参考文献No.29539
标题:Amino acid deriv. having anti-CKK activity
作者:Ogawa, M.; Morita, T.; Matsuda, K.; Iibuchi, N.; Kidokoro, S. (Tobishi Pharmaceutical Co.)
来源:EP 0710661; JP 1996119940; JP 1996176144; US 5716958
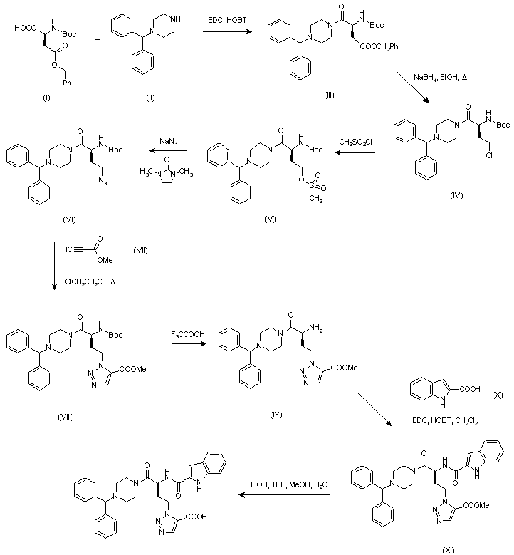
合成路线图解说明:

Condensation of N-Boc-L-aspartic acid gamma-benzyl ester (I) with N-benzhydryl piperazine (II) using 1-ethyl-3-(3-dimethylaminopropyl)- carbodiimide hydrochloride (EDC) and 1-hydroxybenzotriazole (HOBT) as the condensig agents gave amide (III). Reduction of the ester group of (III) with NaBH4 in refluxing EtOH provided alcohol (IV), which was treated with methanesulfonyl chloride to afford mesylate (V). Subsequent reaction of (V) with sodium azide in N,N'-dimethylimidazolidinone gave azide (VI), and further cycloaddition of this azide with methyl propiolate (VII) in refluxing dichloroethane furnished triazole (VIII). The tert-butoxycarbonyl protecting group of (VIII) was then removed by treatment with trifluoroacetic acid at room temperature to yield amine (IX), which was condensed with indole-2-carboxylic acid (X) in the presence of EDC and HOBT to give amide (XI). Finally, hydrolysis of (XI) with LiOH provided the target carboxylic acid.

Drug Information Express,Drug R&D,Chemical Database,Patent Search.
Copyright © 2006-2026 Drug Future. All rights reserved.Contact Us