【药物名称】TGP
化学结构式(Chemical Structure):
参考文献No.36865
标题:Anti-viral cpds.
作者:Kong, L.C.C.; Dionne, G.; Quimpere, M.; Brown, W.L.; Nguyen-Ba, N.
来源:US 5789394
合成路线图解说明:

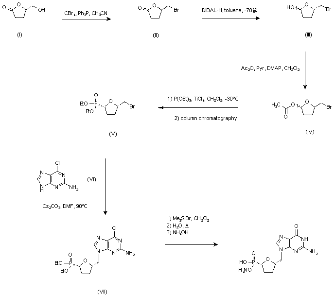
(S)-5-(Hydroxymethyl)tetrahydrofuran-2-one (I) was converted into bromide (II) by reaction with CBr4 and PPh3. Subsequent reduction of the lactone with DIBAL-H in toluene at -78 C, followed by acetylation of the resulting lactol (III) with Ac2O and pyridine, afforded acetate (IV) as a 1:1 mixture of isomers cis and trans. The phosphonate group was then introduced by a TiCl4-catalyzed Arbuzov reaction with triethyl phosphite at low temperature, to give a mixture of geometric isomers, from which the desired cis compound (V) was isolated by column chromatography. Condensation of this bromide with 2-amino-6-chloropurine (VI) in the presence of Cs2CO3 in DMF gave (VII). The phosphonate ester was hydrolyzed by treatment with excess Me3SiBr to produce an intermediate trimethylsilyl ester, and then the target compound was obtained by simultaneous hydrolysis of the silyl ester to phosphonic acid and the 6-chloropurine group to guanine in boiling water, followed by conversion to the corresponding ammonium salt with NH4OH.

合成路线图解说明:

(S)-5-(Hydroxymethyl)tetrahydrofuran-2-one (I) was converted into bromide (II) by reaction with CBr4 and PPh3. Subsequent reduction of the lactone with DIBAL-H in toluene at -78 C, followed by acetylation of the resulting lactol (III) with Ac2O and pyridine, afforded acetate (IV) as a 1:1 mixture of isomers cis and trans. The phosphonate group was then introduced by a TiCl4-catalyzed Arbuzov reaction with triethyl phosphite at low temperature, to give a mixture of geometric isomers, from which the desired cis compound (V) was isolated by column chromatography. Condensation of this bromide with 2-amino-6-chloropurine (VI) in the presence of Cs2CO3 in DMF gave (VII). The phosphonate ester was hydrolyzed by treatment with excess Me3SiBr to produce an intermediate trimethylsilyl ester, and then the target compound was obtained by simultaneous hydrolysis of the silyl ester to phosphonic acid and the 6-chloropurine group to guanine in boiling water, followed by conversion to the corresponding ammonium salt with NH4OH.

参考文献No.462966
标题:Identification of novel nucleotide phosphonate analogs with potent anti-HCMV activity
作者:Chan, L.; et al.
来源:215th ACS Natl Meet (March 29 1998, Dallas) 1998,Abst MEDI 034
合成路线图解说明:

(S)-5-(Hydroxymethyl)tetrahydrofuran-2-one (I) was converted into bromide (II) by reaction with CBr4 and PPh3. Subsequent reduction of the lactone with DIBAL-H in toluene at -78 C, followed by acetylation of the resulting lactol (III) with Ac2O and pyridine, afforded acetate (IV) as a 1:1 mixture of isomers cis and trans. The phosphonate group was then introduced by a TiCl4-catalyzed Arbuzov reaction with triethyl phosphite at low temperature, to give a mixture of geometric isomers, from which the desired cis compound (V) was isolated by column chromatography. Condensation of this bromide with 2-amino-6-chloropurine (VI) in the presence of Cs2CO3 in DMF gave (VII). The phosphonate ester was hydrolyzed by treatment with excess Me3SiBr to produce an intermediate trimethylsilyl ester, and then the target compound was obtained by simultaneous hydrolysis of the silyl ester to phosphonic acid and the 6-chloropurine group to guanine in boiling water, followed by conversion to the corresponding ammonium salt with NH4OH.

合成路线图解说明:

(S)-5-(Hydroxymethyl)tetrahydrofuran-2-one (I) was converted into bromide (II) by reaction with CBr4 and PPh3. Subsequent reduction of the lactone with DIBAL-H in toluene at -78 C, followed by acetylation of the resulting lactol (III) with Ac2O and pyridine, afforded acetate (IV) as a 1:1 mixture of isomers cis and trans. The phosphonate group was then introduced by a TiCl4-catalyzed Arbuzov reaction with triethyl phosphite at low temperature, to give a mixture of geometric isomers, from which the desired cis compound (V) was isolated by column chromatography. Condensation of this bromide with 2-amino-6-chloropurine (VI) in the presence of Cs2CO3 in DMF gave (VII). The phosphonate ester was hydrolyzed by treatment with excess Me3SiBr to produce an intermediate trimethylsilyl ester, and then the target compound was obtained by simultaneous hydrolysis of the silyl ester to phosphonic acid and the 6-chloropurine group to guanine in boiling water, followed by conversion to the corresponding ammonium salt with NH4OH.

Drug Information Express,Drug R&D,Chemical Database,Patent Search.
Copyright © 2006-2026 Drug Future. All rights reserved.Contact Us