【药物名称】AVE-8062, RPR-258062A, AVE-8062A, CS-39-L-Ser.HCl, AC-7700
化学结构式(Chemical Structure):
参考文献No.31023
标题:Stilbene derivs. and pharmaceutical compsns. containing them
作者:Hatanaka, T.; Ohsumi, K.; Tsuji, T.; Nihei, Y.; Nakagawa, R.; Ohishi, K. (Ajinomoto Co., Inc.)
来源:CA 2171275; EP 0731085; JP 1996301831; US 5674906
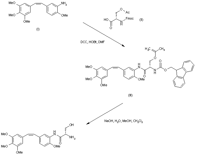
合成路线图解说明:

Coupling of (Z)-1-(3-amino-4-methoxyphenyl)-2-(3,4,5-trimethoxyphenyl)- ethene (I) with N-Fmoc-O-acetyl-L-serine (II) in the presence of DCC and HOBt provided the corresponding serineamide (III). Further deprotection of Fmoc and acetyl groups with NaOH furnished the title compound.

Drug Information Express,Drug R&D,Chemical Database,Patent Search.
Copyright © 2006-2026 Drug Future. All rights reserved.Contact Us