【药物名称】DR-4004
化学结构式(Chemical Structure):
参考文献No.538130
标题:Tetrahydrobenzindoles: Selective antagonists of the 5-HT7 receptor
作者:Kikuchi, C.; Nagaso, H.; Hiranuma, T.; Koyama, M.
来源:J Med Chem 1999,42(4),533
合成路线图解说明:

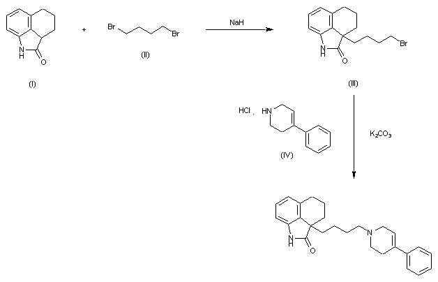
Tetrahydrobenzindole (I) was alkylated with 1,4-dibromobutane (II) in the presence of NaH to afford the bromobutyl derivative (III). This was then condensed with 4-phenyltetrahydropyridine (IV) to yield the title compound.

Drug Information Express,Drug R&D,Chemical Database,Patent Search.
Copyright © 2006-2026 Drug Future. All rights reserved.Contact Us