【药物名称】RPR-258063A, AVE-8063A, CS-39.HCl, AC-7739
化学结构式(Chemical Structure):
参考文献No.486500
标题:Novel combretastatin analogue effective against murine solid tumors: Design and structure-activity relationships
作者:Ohsumi, K.; Nakagawa, R.; Fukuda, Y.; Hatanaka, T.; Morrinaga, Y.; Nihei, Y.; Ohishi, K.; Suga, Y.; Akiyama, Y.; Tsuji, T.
来源:J Med Chem 1998,41(16),3022
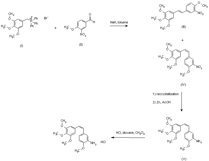
合成路线图解说明:

Wittig reaction of 3,4,5-trimethoxybenzyl phosphonium bromide (I) with benzaldehyde (II) in the presence of NaH in toluene yielded a 1:1 mixture of E (III) and Z (IV) stilbenes, from which the Z isomer was separated by crystallization from EtOAc and then from EtOH. Then, nitro group of (IV) was reduced with Zn in AcOH at room temperature to give anilino compound (V), which was converted to the hydrochloride salt with HCl in dioxane-methylene chloride.

合成路线图解说明:

Wittig reaction of phosphonium bromide (I) with 4-methoxy-3-nitrobenzaldehyde (II) in the presence of NaOMe provided an approximately equimolecular mixture of Z- and E-stilbenes (III) and (IV), from which the E-isomer was isolated by crystallization. Stilbene (IV) was converted to bromohydrin (V) by treatment with N-bromosuccinimide in aqueous DMSO. Further Swern oxidation of (V) with DMSO-trifluoroacetic anhydride (TFAA) yielded bromoketone (VI), which was then cyclized with thiourea (VII) in the presence of K2CO3 in DMF to give aminothiazole (VIII). Finally, the nitro of (VIII) group was reduced to the target amine by treatment with Zn in AcOH.

Drug Information Express,Drug R&D,Chemical Database,Patent Search.
Copyright © 2006-2026 Drug Future. All rights reserved.Contact Us