【药物名称】(+)-SNAP-6543, SNAP-6543-(+)
化学结构式(Chemical Structure):
参考文献No.35027
标题:Dihydropyrimidines and uses thereof
作者:Wong, W.C.; Lagu, B.; Nagarathnam, D.; Marzabadi, M.R.; Gluchowski, C. (Synaptic Pharmaceutical Corp.)
来源:EP 1021185; JP 2000506904; WO 9742956
合成路线图解说明:

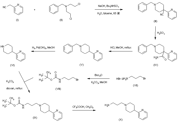
The intermediate amine (IV) was prepared by alkylation of 4-cyano-4-phenylpiperidine (I) with N-(3-bromopropyl)phthalimide (II), followed by hydrazinolysis of the substituted phthalimide (III).

合成路线图解说明:

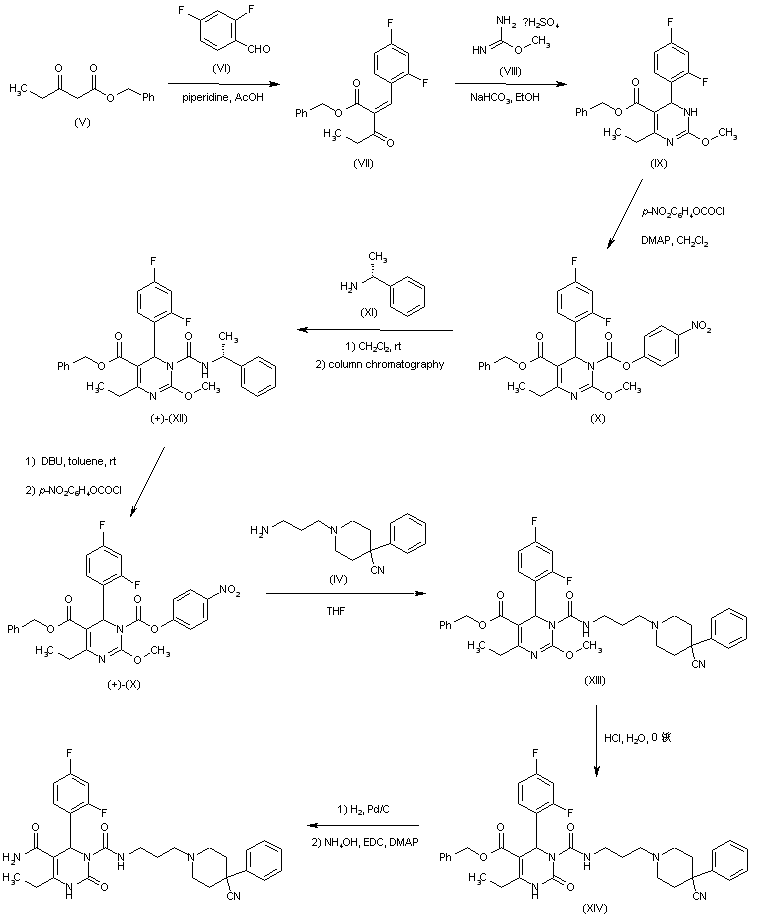
The Knoevenagel condensation between benzyl propionylacetate (V) and 2,4-difluorobenzaldehyde (VI) afforded the benzylidene derivative (VII), which was cyclized with O-methylisourea hemisulfate (VIII), yielding the dihydropyrimidine (IX). This compound, upon reaction with 4-nitrophenyl chloroformate, regioselectively produced the carbamate ester (X). Resolution of the enantiomers of (X) was achieved by condensation with the chiral auxiliary (S)-(-)-alpha-methylbenzylamine (XI) to obtain a mixture of diastereomeric amides, which were separated by flash chromatography. The alpha-methylbenzylaminocarbonyl moiety was then removed from the desired diastereomer (+)-(XII) by treatment with DBU, and the resulting chiral dihydropyridine was again condensed with 4-nitrophenyl chloroformate to give (+)-(X). Coupling of the chiral carbamate (+)-(X) with amine (IV) provided adduct (XIII), which on treatment with aqueous HCl gave the dihydropyrimidinone (XIV). After catalytic hydrogenolysis of the benzyl ester of (XIV), the resulting acid was converted to the title amide by reaction with ammonia in the presence of EDC and DMAP.

合成路线图解说明:

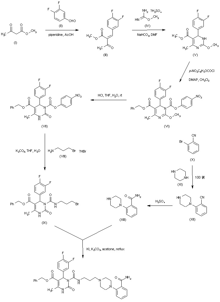
The Knoevenagel condensation between methyl acetoacetate (I) and 3,4-difluorobenzaldehyde (II) afforded the benzylidene derivative (III), which was cyclized with O-methylisourea hemisulfate (IV), yielding the dihydropyrimidine (V). This compound, upon reaction with 4-nitrophenyl chloroformate, regioselectively produced the carbamate ester (VI) (1,2). Treatment of (VI) with aqueous HCl gave the dihydropyrimidinone (VII), which was subsequently coupled with 3-bromopropylamine稨Br (VIII) to give the bromopropyl amide (IX) (1). The intermediate N-(2-carboxamidophenyl)piperazine (XIII) was obtained by condensation of 2-bromobenzonitrile (X) with piperazine (XI), followed by partial hydrolysis of the nitrile group with H2SO4. The title compound was finally obtained by condensation between piperazine (XIII) and bromide (IX) in the presence of KI and K2CO3 in refluxing acetone.

合成路线图解说明:

Condensation of 2-pyridylacetonitrile (I) with N,N-bis-(2-chloroethyl)benzylamine (II) under phase-transfer conditions produced the pyridylpiperidine (III). The cyano group of (III) was hydrolyzed to carboxamide (IV) with concentrated sulfuric acid and then decarboxylated to (V) by treatment with methanolic HCl. Subsequent hydrogenolysis of the N-benzyl group of (V) afforded piperidine (VI). N-Boc-3-bromopropylamine (VIII) was prepared by treatment of 3-bromopropylamine (VII) with di-tert-butyl dicarbonate. Alkylation of piperidine (VI) with bromide (VIII) gave adduct (IX). The N-Boc protecting group of (IX) was then removed by treatment with trifluoroacetic acid to yield intermediate aine (X).

合成路线图解说明:

Methyl 4-methoxyacetoacetate (XIV) was transesterified with 3-hydroxypropionitrile (XV) at 180 C to yield the 2-cyanoethyl ester (XVI). Subsequent condensation between 3,4-difluorobenzaldehyde (XVII) and ketoester (XVI) in the presence of piperidine acetate furnished the benzylidene derivative (XVIII), which was cyclized with O-methylisourea hemisulfate (XIX) to produce the racemic pyrimidine (XX). Resolution of (XX) was achieved via conversion to the 4-nitrophenyl carbamate (XXI), which was then condensed with (R)-1-phenylethylamine (XXII) to afford a separable mixture of diastereoisomeric amides. The desired isomer (XXIII) was treated with DBU in hot toluene to give the (+)-pyrimidine (XXIV). This was again converted to the corresponding 4-nitrophenyl carbamate (XXV) by reaction with 4-nitrophenyl chloroformate and DMAP.

合成路线图解说明:

Coupling of (XXV) with the intermediate amine (X) gave urea (XXVI). The methoxydihydropyrimidine ring (XXVI) was hydrolyzed to the tetrahydropyrimidinone (XXVII) by treatment with HCl, and the cyanoethyl ester group was further removed using NaOH in aqueous acetone. The resultant carboxylic acid (XXVIII) was finally esterified with methanol by using EDC and DMAP as the coupling reagents.

参考文献No.559159
标题:Design and synthesis of novel alpha1a adrenoceptor-selective antagonists. 1. Structure-activity relationship in dihydropyrimidinones
作者:Nagarathnam, D.; Miao, S.W.; Lagu, B.; Chiu, G.; Fang, J.; Murali Dhar, T.G.; Zhang, J.; Tyagarajan, S.; Marzabadi, M.R.; Zhang, F.; Wong, W.C.; Sun, W.; Tian, D.; Wetzel, J.M.; Forray, C.; Chang, R.S.; Broten, T.P.; Ransom, R.W.; Schorn, T.W.; et al.
来源:J Med Chem 1999,42(23),4764
合成路线图解说明:

The Knoevenagel condensation between benzyl propionylacetate (V) and 2,4-difluorobenzaldehyde (VI) afforded the benzylidene derivative (VII), which was cyclized with O-methylisourea hemisulfate (VIII), yielding the dihydropyrimidine (IX). This compound, upon reaction with 4-nitrophenyl chloroformate, regioselectively produced the carbamate ester (X). Resolution of the enantiomers of (X) was achieved by condensation with the chiral auxiliary (S)-(-)-alpha-methylbenzylamine (XI) to obtain a mixture of diastereomeric amides, which were separated by flash chromatography. The alpha-methylbenzylaminocarbonyl moiety was then removed from the desired diastereomer (+)-(XII) by treatment with DBU, and the resulting chiral dihydropyridine was again condensed with 4-nitrophenyl chloroformate to give (+)-(X). Coupling of the chiral carbamate (+)-(X) with amine (IV) provided adduct (XIII), which on treatment with aqueous HCl gave the dihydropyrimidinone (XIV). After catalytic hydrogenolysis of the benzyl ester of (XIV), the resulting acid was converted to the title amide by reaction with ammonia in the presence of EDC and DMAP.

合成路线图解说明:

The Knoevenagel condensation between methyl acetoacetate (I) and 3,4-difluorobenzaldehyde (II) afforded the benzylidene derivative (III), which was cyclized with O-methylisourea hemisulfate (IV), yielding the dihydropyrimidine (V). This compound, upon reaction with 4-nitrophenyl chloroformate, regioselectively produced the carbamate ester (VI) (1,2). Treatment of (VI) with aqueous HCl gave the dihydropyrimidinone (VII), which was subsequently coupled with 3-bromopropylamine稨Br (VIII) to give the bromopropyl amide (IX) (1). The intermediate N-(2-carboxamidophenyl)piperazine (XIII) was obtained by condensation of 2-bromobenzonitrile (X) with piperazine (XI), followed by partial hydrolysis of the nitrile group with H2SO4. The title compound was finally obtained by condensation between piperazine (XIII) and bromide (IX) in the presence of KI and K2CO3 in refluxing acetone.

参考文献No.559160
标题:Design and synthesis of novel alpha1a adrenoceptor-selective antagonists. 2. Approaches to eliminate opioid agonist metabolites via modification of linker and 4-methoxycarbonyl-4-phenylpiperidine moiety
作者:Murali Dhar, T.G.; Nagarathnam, D.; Marzabadi, M.R.; Lagu, B.; Wong, W.C.; Chiu, G.; Tyagarajan, S.; Miao, S.W.; Zhang, F.; Sun, W.; Tian, D.; Shen, Q.; Zhang, J.; Wetzel, J.M.; Forray,C.; Chang, R.S.; Broten, T.P.; Schorn, T.W.; Chen, T.B.; et al.
来源:J Med Chem 1999,42(23),4778
合成路线图解说明:

The Knoevenagel condensation between benzyl propionylacetate (V) and 2,4-difluorobenzaldehyde (VI) afforded the benzylidene derivative (VII), which was cyclized with O-methylisourea hemisulfate (VIII), yielding the dihydropyrimidine (IX). This compound, upon reaction with 4-nitrophenyl chloroformate, regioselectively produced the carbamate ester (X). Resolution of the enantiomers of (X) was achieved by condensation with the chiral auxiliary (S)-(-)-alpha-methylbenzylamine (XI) to obtain a mixture of diastereomeric amides, which were separated by flash chromatography. The alpha-methylbenzylaminocarbonyl moiety was then removed from the desired diastereomer (+)-(XII) by treatment with DBU, and the resulting chiral dihydropyridine was again condensed with 4-nitrophenyl chloroformate to give (+)-(X). Coupling of the chiral carbamate (+)-(X) with amine (IV) provided adduct (XIII), which on treatment with aqueous HCl gave the dihydropyrimidinone (XIV). After catalytic hydrogenolysis of the benzyl ester of (XIV), the resulting acid was converted to the title amide by reaction with ammonia in the presence of EDC and DMAP.

合成路线图解说明:

The Knoevenagel condensation between methyl acetoacetate (I) and 3,4-difluorobenzaldehyde (II) afforded the benzylidene derivative (III), which was cyclized with O-methylisourea hemisulfate (IV), yielding the dihydropyrimidine (V). This compound, upon reaction with 4-nitrophenyl chloroformate, regioselectively produced the carbamate ester (VI) (1,2). Treatment of (VI) with aqueous HCl gave the dihydropyrimidinone (VII), which was subsequently coupled with 3-bromopropylamine稨Br (VIII) to give the bromopropyl amide (IX) (1). The intermediate N-(2-carboxamidophenyl)piperazine (XIII) was obtained by condensation of 2-bromobenzonitrile (X) with piperazine (XI), followed by partial hydrolysis of the nitrile group with H2SO4. The title compound was finally obtained by condensation between piperazine (XIII) and bromide (IX) in the presence of KI and K2CO3 in refluxing acetone.

Drug Information Express,Drug R&D,Chemical Database,Patent Search.
Copyright © 2006-2026 Drug Future. All rights reserved.Contact Us