【药物名称】
化学结构式(Chemical Structure):
参考文献No.461802
标题:Synthesis of new thieno[2,3-d]pyrimidine-2,4(1H, 3H)-diones with analgesic and anti-inflammatory activities
作者:Romeo, G.; et al.
来源:Arzneim-Forsch Drug Res 1998,48(2),167-172
合成路线图解说明:

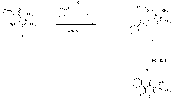
Condensation of aminothiophene (I) with cyclohexyl isocyanate (II) in refluxing toluene afforded urea (III). Then, treatment with ethanolic KOH gave the pyrimidine dione system.

Drug Information Express,Drug R&D,Chemical Database,Patent Search.
Copyright © 2006-2026 Drug Future. All rights reserved.Contact Us