【药物名称】RPR-130737
化学结构式(Chemical Structure):
参考文献No.548632
标题:Sulfonamidopyrrolidinone factor Xa inhibitors: Potency and selectivity enhancements via P-1 and P-2 optimization
作者:Choi-Sledeski, Y.M.; McGarry, D.G.; Green, D.M.; Mason, H.J.; Becker, M.R.; Davis, R.S.; Ewing, W.R.; Dankulich, W.P.; Manetta, V.E.; Morris, R.L.; Spada, A.P.; Cheney, D.L.; Brown, K,D.; Colussi, D.J.; Chu, V.; Heran, C.L.; Morgan, S.R.; et al.
来源:J Med Chem 1999,42(18),3572
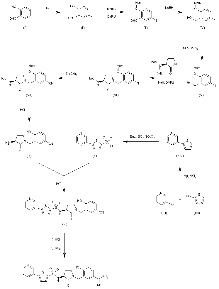
合成路线图解说明:

The iodination of 2-hydroxybenzaldehyde (I) with iodine chloride in dichloromethane gives 2-hydroxy-5-iodobenzaldehyde (II), which is protected with Mem-Cl by means of NaH and 1,3-dimethylperhydropyrimidin-2-one (DMPU) in THF yielding the ether derivative (III). The reduction of (III) with NaBH4 in THF affords the benzyl alcohol (IV), which is brominated with NBS and triphenylphosphine in THF to give the benzyl bromide (V). The condensation of (V) with the protected aminopyrrolidinone (VI) by means of NaH and DMPU in THF yields the benzylpyrrolidinone (VII), which is treated with Zn(CN)2 and palladium tetrakis(triphenylphosphine) in DMF to provide the benzonitrile (VIII). The deprotection of (VIII) with HCl gas in ethyl acetate gives the primary amine (IX), which is sulfonated with 5-(3-pyridyl)thiophene-2-sulfonyl chloride (X) in pyridine yielding the sulfonamide (XI). Finally, this compound is treated first with HCl gas in ethanol, and then with NH3 in methanol to convert the cyano group of (XI) into the amidino group of the target compound. The intermediate sulfonyl chloride (X) has been obtained as follows: The condensation of 3-bromopyridine (XII) with 2-bromothiophene (XIII) by means of Mg and NiCl2 in refluxing ethyl ether gives 2-(3-pyridyl)thiophene (XIV), which is chlorosulfonated by means of BuLi, SO2 and SO2Cl2 in THF to yield intermediate (X).

Drug Information Express,Drug R&D,Chemical Database,Patent Search.
Copyright © 2006-2026 Drug Future. All rights reserved.Contact Us