【药物名称】SK-549
化学结构式(Chemical Structure):
参考文献No.545752
标题:Design and synthesis of isoxazoline derivatives as factor Xa inhibitors. 2(1)
作者:Quan, M.L.; Ellis, C.D.; Liauw, A.Y.; Alexander, R.S.; Knabb, R.M.; Lam, G.; Wright, M.R.; Wong, P.C.; Wexler, R.R.
来源:J Med Chem 1999,42(15),2760
合成路线图解说明:

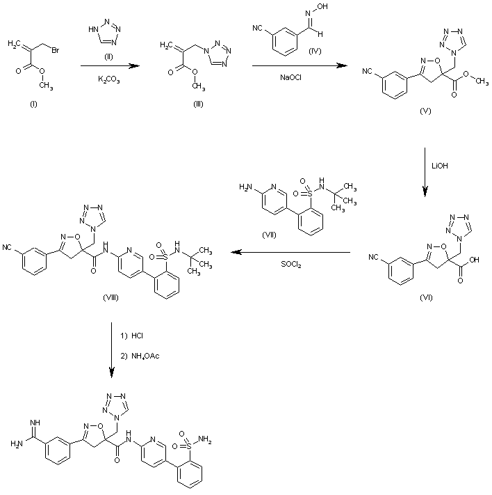
The condensation of 2-(bromomethyl)acrylic acid methyl ester (I) with 1H-tetrazole (II) by means of K2CO3 in DMF gives 2-(1-tetrazolylmethyl)acrylic acid methyl ester (III), which is cyclized with 3-cyanobenzaldehyde oxime (IV) by means of NaOCl yielding the oxazoline carboxylic ester (V). The hydrolysis of (V) with LiOH in THF affords the free carboxylic acid (VI), which is condensed with 2-(6-aminopyridin-3-yl)-N-tert-butybenzenesulfonamide (VII) by means of SOCl2 and triethylamine giving the carboxamide (VIII). Finally, this compound is treated with HCl and then with ammonium acetate to eliminate the tert-butyl protecting group and to hydrolyze the cyano group to the target amidino compound.

合成路线图解说明:

The condensation of 2-(bromomethyl)acrylic acid methyl ester (I) with 1H-tetrazole (II) by means of K2CO3 in DMF gives 2-(1-tetrazolylmethyl)acrylic acid methyl ester (III), which is cyclized with 3-cyanobenzaldehyde oxime (IV) by means of NaOCl yielding the oxazoline carboxylic ester (V). The hydrolysis of (V) with LiOH in THF affords the free carboxylic acid (VI), which is condensed with 4'-amino-N-tert-butylbiphenyl-2-sulfonamide (VII) by means of SOCl2 and triethylamine giving the carboxamide (VIII). Finally, this compound is treated with HCl and then with ammonium acetate to eliminate the tert-butyl protecting group and to hydrolyze the cyano group to the target amidino compound.

Drug Information Express,Drug R&D,Chemical Database,Patent Search.
Copyright © 2006-2026 Drug Future. All rights reserved.Contact Us