【药物名称】Fanapanel, ZK-200775, MPQX
化学结构式(Chemical Structure):
参考文献No.25412
标题:Quinoxalindione derivs., their preparation and their use in drugs
作者:Huth, A.; Turski, L. (Schering AG)
来源:DE 4314591; DE 4344486; EP 0696288; EP 1002796; JP 1996508037; US 5750525; WO 9425469
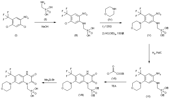
合成路线图解说明:

The reaction of 2,4-dichloro-5-(trifluoromethyl)nitrobenzene (I) with aminomethanephosphonic acid (II) by means of NaOH in ethanol/water gives the anilinomethanephosphonic acid (III), which is condensed first with morpholine (IV) by heating at 120 C and esterified with triethyl orthoformate at 150 C yielding 5-(4-morpholinyl)-2-nitro-4-(trifluoromethyl)phenylaminomethyl phosphonic acid diethyl ester (V). The reduction of the nitro group of (V) with H2 over Pd/C in ethanol affords the corresponding amino-derivative (VI), which is cyclized with oxalic acid monoethyl ester monochloride (VII) by means of triethylamine in THF providing the quinoxaline (VIII). Finally, this compound is hydrolyzed to the free phosphonic acid with trimethylbromo silane in acetonitrile.

Drug Information Express,Drug R&D,Chemical Database,Patent Search.
Copyright © 2006-2026 Drug Future. All rights reserved.Contact Us