【药物名称】PD-168787, CI-1018
化学结构式(Chemical Structure):
参考文献No.562779
标题:Synthesis and structure-activity relationships of 4-oxo-1-phenyl-3,4,6,7-tetrahydro-[1,4]diazepino[6,7,1-hi]indoles: Novel PDE4 inhibitors
作者:Pascal, Y.; Andrianjara, C.R.; Auclair, E.; Avenel, N.; Bertin, B.; Calvet, A.; Feru, F.; Lardon, S.; Moodley, I.; Ouagued, M.; Payne, A.; Pruniaux, M.P.; Szilagyi, C.
来源:Bioorg Med Chem Lett 2000,10(1),35
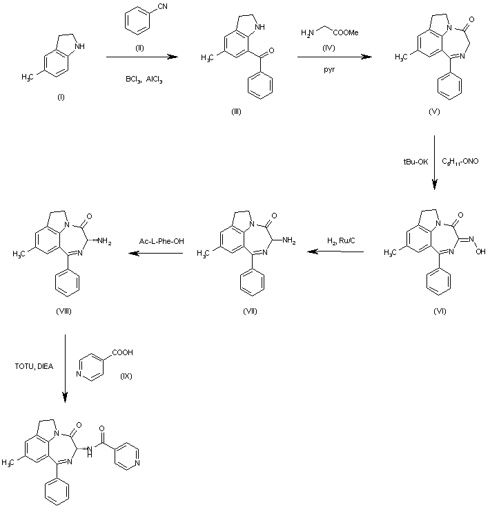
合成路线图解说明:

The condensation of 5-methylindoline (I) with benzonitrile (II) by means of BCl3 and AlCl3 in dichloroethane gives the 7-benzoyl-5-methylindoline (III), which is cyclized with glycine methyl ester (IV) in pyridine yielding the tricyclic pyrrolobenzodiazepinone (V). The reaction of (V) with isoamyl nitrite and potassium tert-butoxide in THF affords the oxime (VI), which is reduced with H2 over Ru/C in methanol providing the racemic amine (VII). The optical resolution of (VII) with N-acetyl-L-phenylalanine gives the desired isomer (VIII), which is finally condensed with pyridine-4-carboxylic acid (IX) by means of O-[1-(ethoxycarbonyl)-1-cyanomethyleneamino]-N,N,N',N'-tetramethyluronium tetrafluoroborate (TOTU) and DIEA in dichloromethane.

Drug Information Express,Drug R&D,Chemical Database,Patent Search.
Copyright © 2006-2026 Drug Future. All rights reserved.Contact Us