【药物名称】L-163540
化学结构式(Chemical Structure):
参考文献No.483553
标题:Preparation of (S)-3-carbethoxy-3-benzylpiperidine and the growth hormone secretagogue L-163,540
作者:Maligres, P.E.; et al.
来源:J Org Chem 1998,63(25),9548
合成路线图解说明:

1) The reaction of diethyl-2-benzylmalonate (I) with acrylonitrile (II) by means of sodium ethoxide in methyl-tert-butyl ether gives diethyl 2-benzyl-2-(2-cyanoethyl)malonate (III), which is reduced with H2 over Pd/C in ethanol/aq. HCl yielding diethyl 2-(3-aminopropyl-2-benzylmalonate (IV). The protection of (IV) with tert-butoxycarbonyl anhydride affords carbamate (V), which is regioselectively hydrolyzed with porcine liver estearase giving 2(S)-benzyl-5-(tert-butoxycarbonylamino)-2-(ethoxycarbonyl)pentanoic acid (VI). The deprotection of the amino group of (VI) with trifluoroacetic acid, followed by cyclization by means of dicyclohexylcarbodiimide (DCC) and hydroxybenzotriazole (HOBT) in methyl-tert-butyl ether gives piperidone (VII), which is protected with tert-butoxycarbonyl anhydride yielding 3(S)-benzyl-1-(tert-butoxycarbonyl)-2-oxopiperidine-3-carboxylic acid ethyl ester (VIII). The reduction of (VIII) with lithium triethylborohydride gives the 2-hydroxy deerivative (IX), which is dehydroxylated with triethylsilane in dichloromethane and deprotected with boron trifluoride ethearate to yield 2(S)-benzylpiperidine-2-carboxylic acid ethyl ester (X). 2) The reduction of the piperidone (VII) to the piperidine (X) can also be performed by reaction of (VII) with Lawesson's reagent [2,4-bis(4-methoxyphenyl)-1,3,2,4-dithiadiphosphetane 2,4-disulfide] in refluxing toluene to give the corresponding piperidinethione (XIV), which is then desulfurized by means of Raney Nickel and NaBH4 in THF/water yielding the desired piperidine (X).

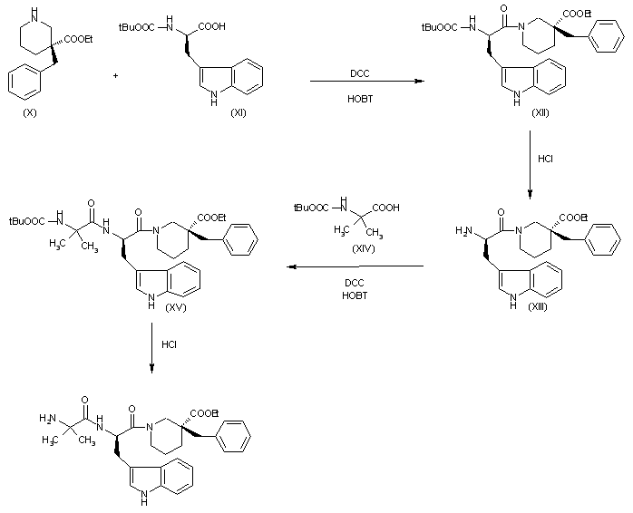
合成路线图解说明:

The reaction of (X) with N-(tert-butoxycarbonyl)-D-tryptophan (XI) by means of DCC and HOBT in ethyl acetate affords the expected condensation product (XII), which is deprotected with HCl in hot ethanol giving compound (XIII) with its amino group free. The reaction of (XIII) with 2-(tert-butoxycarbonylamino)isobutyric acid (XIV) by means of DCC and HOBT as before yields the expected condensation product (XV), which is finally deprotected with HCl in methanol as before to give the target compound.

Drug Information Express,Drug R&D,Chemical Database,Patent Search.
Copyright © 2006-2026 Drug Future. All rights reserved.Contact Us