【药物名称】L-757464
化学结构式(Chemical Structure):
参考文献No.472255
标题:Design and synthesis of N-alkylated saccharins as selective alpha1-a adrenergic receptor antagonists
作者:Nerenberg, J.B.; Erb, J.M.; Thompson, W.J.; Lee, H.Y.; Guare, J.P.; Munson, P.M.; Bergman, J.M.; Huff, J.R.; Broten, T.P.; Chang, R.S.; Chen, T.B..; O'Malley, S.; Schorn, T.W.; Scott, A.L.
来源:Bioorg Med Chem Lett 1998,8(18),2467
合成路线图解说明:

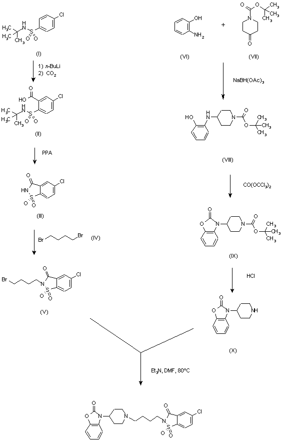
Ortho lithiation of sulfonamide (I) with n-butyllithium, followed by carbonation with CO2 afforded benzoic acid (II). Subsequent cyclization with PPA with concomitant elimination of the N-tert-butyl group provided the saccharin analogue (III). Alkylation of the sodium salt of (III) with 1,4-dibromobutane (IV) in DMF yielded bromide (V). The reductive alkylation of 2-aminophenol (VI) with 1-tert-butoxycarbonyl-4-piperidone (VII) in the presence of sodium tri(acetoxy)borohydride provided the aminopiperidine (VIII), which was cyclized with triphosgene to afford benzoxazolone (IX). Then, removal of the N-Boc protecting group provided piperidine (X), which was finally alkylated with bromide (V) in the presence of Et3N in DMF at 80 C to furnish the title compound.

参考文献No.528574
标题:Preparation of substituted 1,2-benzoisothiazolin-3-one 3 1,1-dioxides (o-benzoic sulfimides)
作者:Lombardino, J.G.
来源:J Org Chem 1971,36(13),1843
合成路线图解说明:

Ortho lithiation of sulfonamide (I) with n-butyllithium, followed by carbonation with CO2 afforded benzoic acid (II). Subsequent cyclization with PPA with concomitant elimination of the N-tert-butyl group provided the saccharin analogue (III). Alkylation of the sodium salt of (III) with 1,4-dibromobutane (IV) in DMF yielded bromide (V). The reductive alkylation of 2-aminophenol (VI) with 1-tert-butoxycarbonyl-4-piperidone (VII) in the presence of sodium tri(acetoxy)borohydride provided the aminopiperidine (VIII), which was cyclized with triphosgene to afford benzoxazolone (IX). Then, removal of the N-Boc protecting group provided piperidine (X), which was finally alkylated with bromide (V) in the presence of Et3N in DMF at 80 C to furnish the title compound.

Drug Information Express,Drug R&D,Chemical Database,Patent Search.
Copyright © 2006-2026 Drug Future. All rights reserved.Contact Us