【药物名称】CP-195494
化学结构式(Chemical Structure):
参考文献No.485939
标题:Development of new chromanol antagonists of leukotriene D4
作者:Chambers, R.J.; Antognoli, G.W.; Cheng, J.B.; Marfat, A.; Pillar, J.S.; Shirley, J.T.; Watson, J.W.
来源:Bioorg Med Chem Lett 1998,8(14),1791
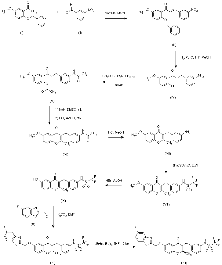
合成路线图解说明:

Aldol condensation of acetophenone (I) with 3-nitrobenzaldehyde (II) in the presence of sodium methoxide in methanol at room temperature afforded enone (III). Double bond hydrogenation over Pd/C in MeOH-THF, with simultaneous nitro group reduction and O-benzyl hydrogenolysis, provided hydroxy ketone (IV). This compound was acylated with acetyl chloride in the presence of triethylamine and catalytic dimethylaminopyridine(DMAP) to yield ester-amide (V), which was cyclized to chromenone (VI) on treatment with NaH in DMSO, followed by HCl in refluxing acetic acid (1). Acidic hydrolysis of amide (VI) gave amine (VII), and this was treated with triflic anhydride and triethylamine to afford the corresponding sulfonamide (VIII). Demethylation of ether (VIII) with HBr in acetic acid gave phenol (IX), and then alkylation with with 2-(chloromethyl)-5-fluorobenzothiazole (X) yielded (XI). Reduction of chromenone with L-Selectride(R) in THF at -78 C gave racemic chromanone (XII) with trans stereochemistry.

合成路线图解说明:

Treatment with triflic anhydride yielded the less polar bis(sulfonamide) (XIII), which could be reduced with NaBH4 in the presence of cerium (III) chloride to afford a mixture of alcohols, from which the desired 3,4-cis alcohol (XIV) was isolated by chromatography. Resolution of racemic (XIV) was achieved by esterification with Boc-D-Tryptophan (XV) on treatment with 1-(3-dimethylaminopropyl)-3-ethylcarbodiimide and DMAP, followed by chromatographic separation of the resulting diastereoisomeric esters. Finally, hydrolysis of the desired isomer (XVI) with LiOH afforded the (+) enantiomer of the target compound.

Drug Information Express,Drug R&D,Chemical Database,Patent Search.
Copyright © 2006-2026 Drug Future. All rights reserved.Contact Us