【药物名称】G-20001, VN/85-1
化学结构式(Chemical Structure):
参考文献No.565172
标题:Novel 17-azolyl steroids, potent inhibitors of human cytochrome 17alpha-hydroxylase-C17,20-lyase (P45017alpha): Potential agents for the treatment of prostate cancer
作者:Njar, V.C.O.; Kato, K.; Nnane, I.P.; Grigoryev, D.N.; Long, B.J.; Brodie, A.M.H.
来源:J Med Chem 1998,41(6),902
合成路线图解说明:

The Vilsmeier-Haack reaction of 3-beta-acetoxyandrost-5-en-17-one (I) using POCl3 and DMF produced a mixture of the vinyl chloride (II) and its formyl derivative (III). After chromatographic separation, the chlorine atom of (III) was displaced with 1,2,3-triazole (IV) to afford the desired 1-triazolyl compound (V) along with the 2-triazolyl regioisomer (VI), which were separated by flash chromatography. Cleavage of the formyl group from compound (V) was carried out by treatment with bis(triphenylphosphine)rhodium(I)carbonyl chloride and 1,3-bis(diphenylphosphino)propane in hot xylenes to furnish (VII). The acetate ester group was finally hydrolyzed with methanolic KOH.

合成路线图解说明:

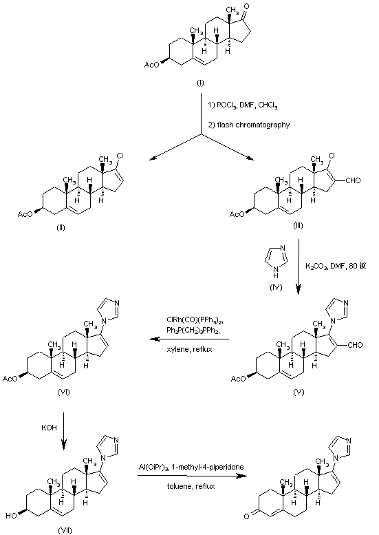
The Vilsmeier-Haack formylation of 3-beta-acetoxyandrost-5-en-17-one (I) with POCl3/DMF provides the desired chloro aldehyde (III) along with minor amounts of the vinyl chloride (II), which are separated by column chromatography. Condensation of (III) with imidazole (IV) by means of K2CO3 in hot DMF yields derivative (V), which by decarbonylation of its 16-formyl group employing a modified Wilkinson抯 catalyst gives (VI). The hydrolysis of the acetate group of (VI) with KOH in methanol affords the corresponding alcohol (VII), which is finally oxidized with aluminum isopropoxide and 1-methyl-4-piperidone in refluxing xylene.

合成路线图解说明:

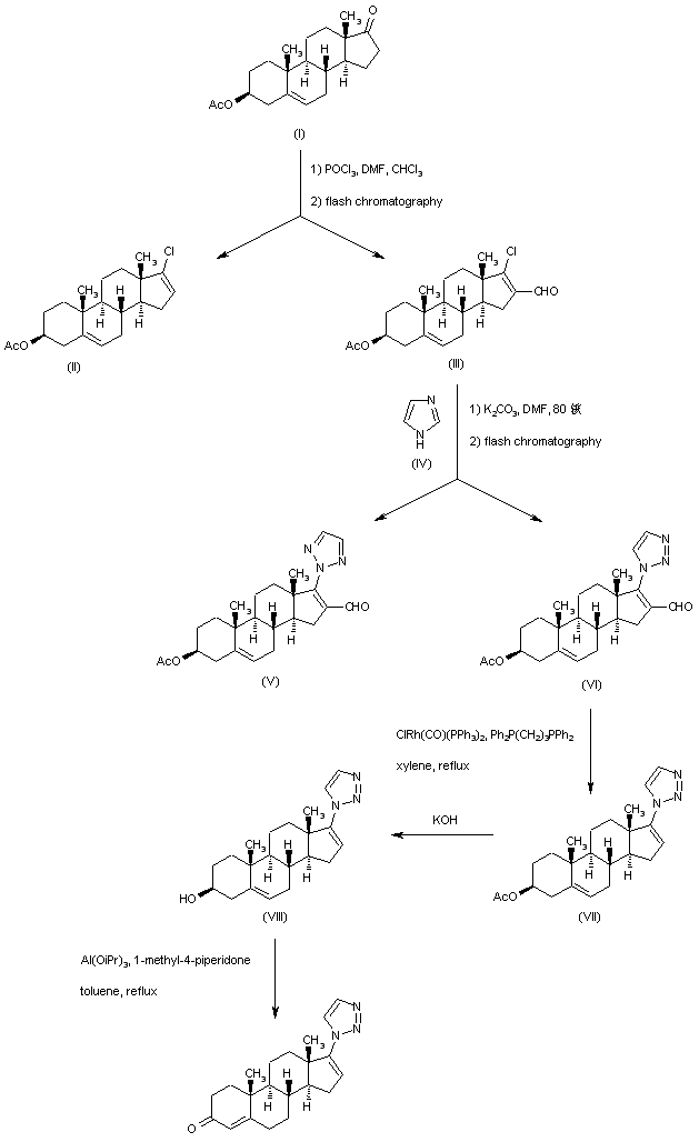
The Vilsmeier-Haack formylation of 3-beta-acetoxyandrost-5-en-17-one (I) with POCl3/DMF provides the desired chloro aldehyde (III) along with minor amounts of the vinyl chloride (II), which are separated by column chromatography. Condensation of (III) with 1,2,3-triazole (IV) affords two regioisomeric triazole derivatives, (V) and (VI). After chromatographic isolation of the required 1-triazolyl compound (VI), decarbonylation of the 16-formyl group employing a modified Wilkinson抯 catalyst gives (VII). The hydrolysis of the acetate group of (VII) with KOH in methanol gives the corresponding alcohol (VIII) , which is finally oxidized with aluminum isopropoxide and 1-methyl-4-piperidone in refluxing xylene.

Drug Information Express,Drug R&D,Chemical Database,Patent Search.
Copyright © 2006-2026 Drug Future. All rights reserved.Contact Us