| 参考文献No. | 37351 |
| 标题: | Taxoid reversal agents for drug-resistance in cancer chemotherapy and pharmaceutical compsns. thereof |
| 作者: | Bernacki, R.J.; Ojima, I. (State University of New York, Albany) |
| 来源: | EP 0966456; US 5811452; WO 9830553 |
 |
| 合成路线图解说明: The compound was prepared by esterification of the 7-hydroxyl group of 13-acetylbaccatin III (I) with 4-benzoylcinnamoyl chloride (II) in the presence of 4-dimethylaminopyridine in CH2Cl2. |
 |
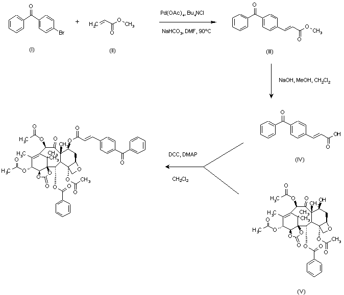
| 合成路线图解说明: Palladium-catalyzed coupling of 4-bromobenzophenone (I) with methyl acrylate (II) afforded 4-benzoylcinnamic ester (III), which was hydrolyzed to acid (IV) with NaOH. Condensation with taxane derivative (V) in the presence of DCC and DMAP then provided the target ester. |