【药物名称】XU-817
化学结构式(Chemical Structure):
参考文献No.35556
标题:Amidinoindoles, amidinoazoles, and analogs thereof as inhibitors of factor Xa and of thrombin
作者:Dominguez, C.; Han, Q.; Duffy, D.E.; Park, J.M.; Quan, M.L.; Rossi, K.A.; Wexler, R.R. (DuPont Pharmaceuticals Co.)
来源:EP 0960102; WO 9801428
合成路线图解说明:

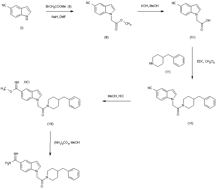
The alkylation of 5-cyanoindole (I) with methyl bromoacetate (II) in the presence of NaH in DMF provided the indolylacetate ester (III), which was hydrolyzed to the corresponding carboxylic acid (IV) with methanolic KOH. Coupling of (IV) with 4-benzylpiperidine (V) employing 1-(3-dimethylaminopropyl)-3-ethylcarbodiimide-HCl (EDC) afforded amide (VI). Pinner reaction of (VI) with methanolic HCl produced imidate (VII), which was finally treated with ammonium carbonate in MeOH to yield the target amidine

参考文献No.531834
标题:Design and synthesis of potent and selective 5,6-fused heterocyclic thrombin inhibitors
作者:Dominguez, C.; Duffy, D.E.; Han, Q.; Alexander, R.S.; Galemmo, R.A. Jr.; Park, J.M.; Wong, P.C.; Amparo, E.C.; Knabb, R.M.; Luettgen, J.; Wexler, R.R.
来源:Bioorg Med Chem Lett 1999,9(7),925
合成路线图解说明:

The alkylation of 5-cyanoindole (I) with methyl bromoacetate (II) in the presence of NaH in DMF provided the indolylacetate ester (III), which was hydrolyzed to the corresponding carboxylic acid (IV) with methanolic KOH. Coupling of (IV) with 4-benzylpiperidine (V) employing 1-(3-dimethylaminopropyl)-3-ethylcarbodiimide-HCl (EDC) afforded amide (VI). Pinner reaction of (VI) with methanolic HCl produced imidate (VII), which was finally treated with ammonium carbonate in MeOH to yield the target amidine

Drug Information Express,Drug R&D,Chemical Database,Patent Search.
Copyright © 2006-2026 Drug Future. All rights reserved.Contact Us