【药物名称】AH-1058
化学结构式(Chemical Structure):
参考文献No.17386
标题:Piperidine derivs. and their use as antiarrhythmic agents
作者:Hirasawa, A.; Shoji, M.; Yoshimoto, R.; Gyotoku, Y.; Eguchi, C. (Ajinomoto Co., Inc.)
来源:EP 0479601; JP 1993025044; US 5229400
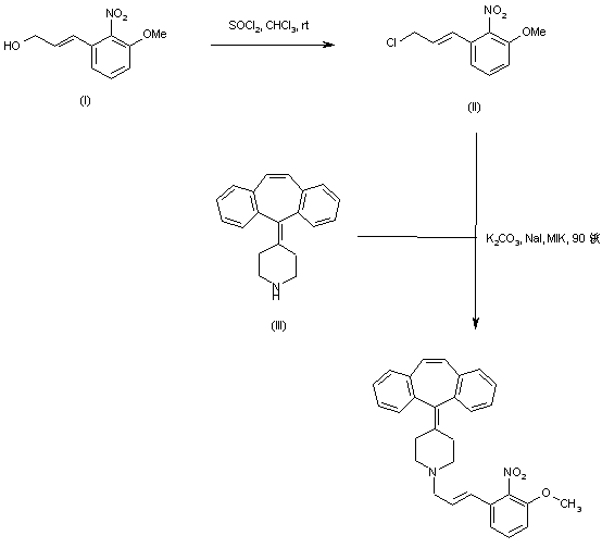
合成路线图解说明:

Treatment of 3-methoxy-2-nitrocinnamyl alcohol (I) with SOCl2 provided the corresponding chloride (II), which was then condensed with dibenzocycloheptylidenepiperidine (III) in the presence of K2CO3 and NaI in hot methyl isobutyl ketone to yield the title compound.

Drug Information Express,Drug R&D,Chemical Database,Patent Search.
Copyright © 2006-2026 Drug Future. All rights reserved.Contact Us