【药物名称】SM-20220
化学结构式(Chemical Structure):
参考文献No.25234
标题:Indoloylguanidine derivs. as inhibitors of sodium-hydrogen exchange
作者:Kojima, A.; Kitano, M.; Miyagishi, A.; Noguchi, T.; Yagi, H.; Nakano, K.; Ohashi, N. (Sumitomo Pharmaceuticals Co., Ltd.)
来源:CA 2121391; EP 0622356; JP 1995010839
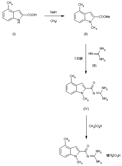
合成路线图解说明:

The methylaion of 4-methyl-1H-indole-2-carboxylic acid (I) with NaH and methyl iodide in DMF gives of 1,4-dimethylindole-2-carboxylic acid methyl ester (II), which is condensed with guanidine at 130 C, and treated with methanesulfonic acid in isopropanol.

合成路线图解说明:

2-Indolecarboxylic acid (I) was esterified with MeOH and SOCl2 to provide methyl ester (II). Subsequent N-alkylation of (II) using methyl iodide and NaH afforded N-methyl indole (III). Guanidine, liberated by treatment of the hydrochloride salt with NaOMe, was finally condensed with indole ester (III) at 130 C to produce the corresponding acylguanidine, which was isolated as the mesylate salt.

Drug Information Express,Drug R&D,Chemical Database,Patent Search.
Copyright © 2006-2026 Drug Future. All rights reserved.Contact Us