【药物名称】T-82
化学结构式(Chemical Structure):
参考文献No.17509
标题:Quinoline derivs.
作者:Hasegawa, H.; Isomae, K.; Kotsugai, T.; Shioiri, N.; Sekine, K.; Taido, N.; Sato, S.; Kuraishi, T. (SSP Co., Ltd.)
来源:EP 0481429; JP 1993009188; JP 1993279355; US 5190951; US 5240934; US 5300517
合成路线图解说明:

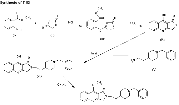
The reaction of methyl anthranilate (I) with tetrahydrofuran-2,4-dione (II) by means of HCl in ethanol gives 2-(5-oxo-2,5-dihydrofuran-3-ylamino)benzoic acid methyl ester (III), which is cyclized by means of polyphosphoric acid (PPA) at 130-140 C yielding the tricyclic hydroxyketone (IV). The condensation of (IV) with 4-(2-aminoethyl)-1-benzylpiperidine (V) in N-methyl-2-pyrrolidone by a Dean-Stark elimination of water affords 2-[2-(1-benzyl-piperidin-4-yl)ethyl]-9-hydroxy-2,3-dihydro-1H-pyrrolo[3,4-b]quinolin-1-one (VI), which is finally methylated with diazomethane in methanol.

参考文献No.473356
标题:T-82
作者:Casta馿r, J.; Mucke, H.A.M.
来源:Drugs Fut 1998,23(10),1075-1077
合成路线图解说明:

The reaction of methyl anthranilate (I) with tetrahydrofuran-2,4-dione (II) by means of HCl in ethanol gives 2-(5-oxo-2,5-dihydrofuran-3-ylamino)benzoic acid methyl ester (III), which is cyclized by means of polyphosphoric acid (PPA) at 130-140 C yielding the tricyclic hydroxyketone (IV). The condensation of (IV) with 4-(2-aminoethyl)-1-benzylpiperidine (V) in N-methyl-2-pyrrolidone by a Dean-Stark elimination of water affords 2-[2-(1-benzyl-piperidin-4-yl)ethyl]-9-hydroxy-2,3-dihydro-1H-pyrrolo[3,4-b]quinolin-1-one (VI), which is finally methylated with diazomethane in methanol.

Drug Information Express,Drug R&D,Chemical Database,Patent Search.
Copyright © 2006-2026 Drug Future. All rights reserved.Contact Us