【药物名称】DMAMI
化学结构式(Chemical Structure):
参考文献No.678807
标题:In vitro and in vivo growth inhibition of cancer cells by adamantylmaleimide derivatives
作者:Wang, J.J.; Chern, Y.-T.; Liu, T.-Y.; Chi, C.-W.
来源:Anti-Cancer Drug Des 1998,13(7),779
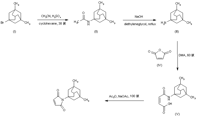
合成路线图解说明:

1-Bromo-3,5-dimethyladamantane (I) is subjected to Ritter reaction with acetonitrile in the presence of H2SO4 to produce acetamide (II). This is further hydrolyzed to the aminoadamantane (III) employing NaOH in refluxing diethyleneglycol. Condensation of amine (III) with maleic anhydride (IV) leads to the maleamic acid (V), which is finally cyclized to the target maleimide upon heating in acetic anhydride in the presence of NaOAc.

Drug Information Express,Drug R&D,Chemical Database,Patent Search.
Copyright © 2006-2026 Drug Future. All rights reserved.Contact Us