【药物名称】Cryptophycin 52, LY-355703
化学结构式(Chemical Structure):
参考文献No.43183
标题:Stereoselective process for producing antineoplastic agents
作者:Zmijewski, M.J.J.; Zhang, T.Y.; Aikins, J.A.; Briggs, B.S. (Eli Lilly and Company; University of Hawaii; Wayne State University)
来源:WO 0023429
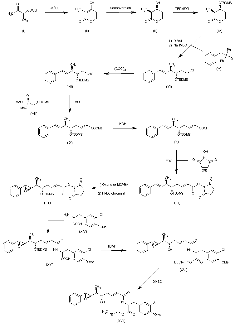
合成路线图解说明:

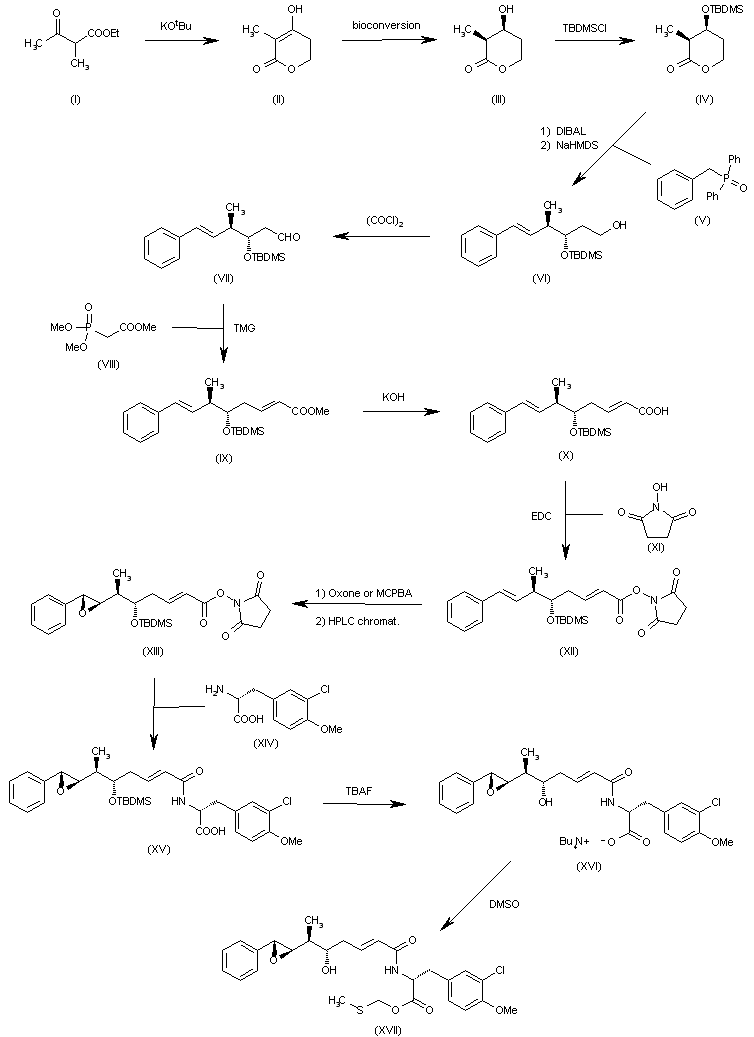
The intermediate epoxyamide (XVIII) has been obtained as follows: The cyclization of 2-methylacetoacetic acid ethyl ester (I) by means of potassium tert-butoxide gives 4-hydroxy-3-methyl-5,6-dihydro-2H-pyran-2-one (I), which is enantiomerically reduced with Mortierella isabellina ATCC 42613 yielding (S,S)-4-hydroxy-3-methyltetrahydropyran-2-one (III). The silylation of (III) by means of TBDMS-Cl, imidazole and DMAP affords the silyl ether (IV), which is reduced with DIBAL to the corresponding lactol and condensed with benzyldiphenylphosphine oxide (V) to give (3S,4R)-3-(tert-butyldimethylsilyloxy)-4-methyl-6-phenyl-5-hexen-1-ol (VI). The oxidation of (VI) with oxalyl chloride in dichloromethane/DMSO yields the corresponding aldehyde (VII), which is submitted to a Wittig condensation with trimethyl phosphonoacetate (VIII) by means of 1,1,3,3-tetramethylguanidine (TMG) to afford the octadienoic ester (IX). The hydrolysis of (IX) with KOH in dioxane gives the corresponding acid (X), which is esterified with N-hydroxysuccinimide (XI) and EDC to give the activated ester (XII). The epoxidation of (XII) with oxone or MCPBA, followed by HPLC chromatography separation of the resulting mixture of epoxides, gives the (2E,5S,6S,7R,8R)-5-(tert-butyldimethylsilyloxy)-7,8-epoxy-6-methyl-8-phenyl-2-octenoic acid N-succinimidinyl ester (XIII). The condensa-tion of activated ester (XIII) with amino acid (XIV) yields the corresponding amide (XV), which is desilylated with TBAF in DMF to afford the hydroxyacid (XVI). Finally, compound (XVI) is treated with DMSO and NaHCO3 and tert-butyl bromide to provide the desired intermediate the epoxyamide.

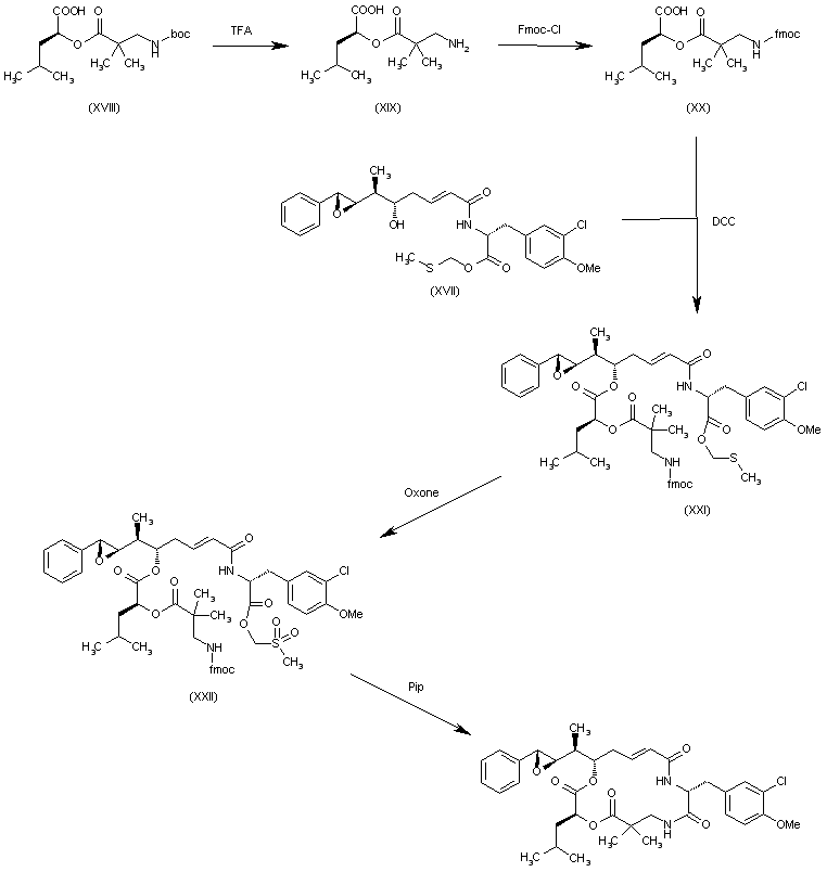
合成路线图解说明:

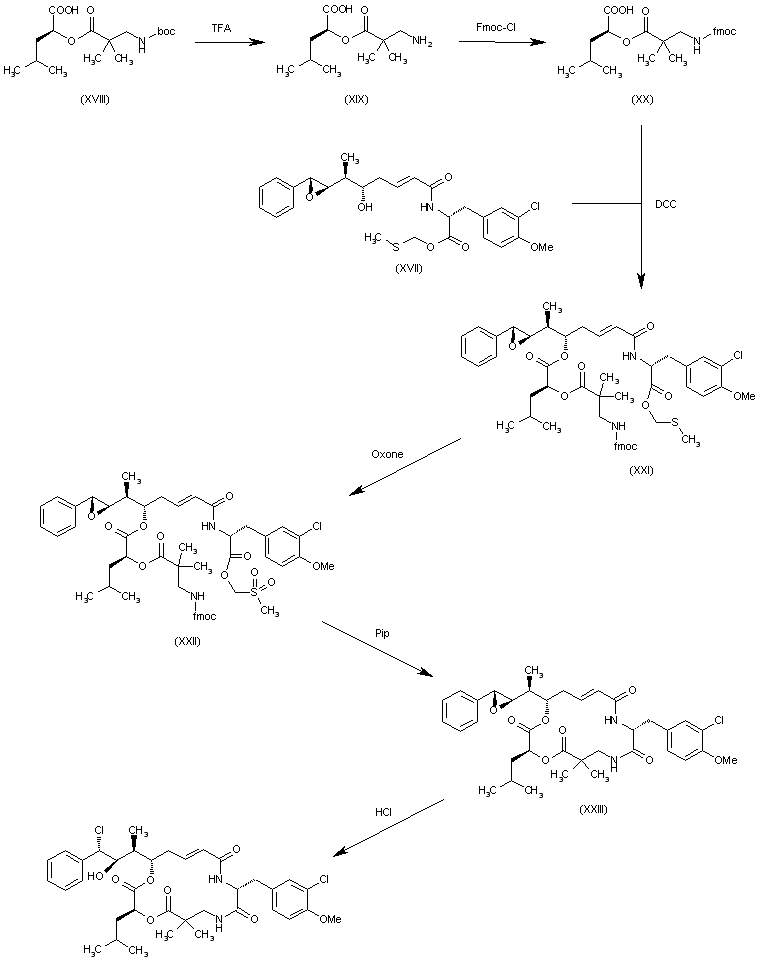
The deprotection of the carbamate (XVIII) by means of TFA gives the free aminoester (XIX), which is reprotected with Fmoc-Cl and NaHCO3 yielding the acid (XX). The esterification of the hydroxy group of he intermediate (XVII) with the acid group of (XX) by means of EDC affords the expected ester (XXI). The oxidation of the methylsulfanyl group of (XXI) with oxone affords the corresponding methylsulfonylmethyl ester (XXII), which is cyclized by means of piperidine in DMF to give the macrocyclic epoxide (XXIII). Finally, this compound is treated with 12 N HCl in dimethoxyethane/water.

合成路线图解说明:

The intermediate epoxyamide (XVII) has been obtained as follows: The cyclization of 2-methylacetoacetic acid ethyl ester (I) by means of potassium tert-butoxide gives 4-hydroxy-3-methyl-5,6-dihydro-2H-pyran-2-one (I), which is enantiomerically reduced with Mortierella isabellina ATCC 42613 yielding (S,S)-4-hydroxy-3-methyltetrahydropyran-2-one (III). The silylation of (III) by means of TBDMS-Cl, imidazole and DMAP affords the silyl ether (IV), which is reduced with DIBAL to the corresponding lactol and condensed with benzyldiphenylphosphine oxide (V) to give (3S,4R)-3-(tert-butyldimethylsilyloxy)-4-methyl-6-phenyl-5-hexen-1-ol (VI). The oxidation of (VI) with oxalyl chloride in dichloromethane/DMSO yields the corresponding aldehyde (VII), which is submitted to a Wittig condensation with trimethyl phosphonoacetate (VIII) by means of 1,1,3,3-tetramethylguanidine (TMG) to afford the octadienoic ester (IX). The hydrolysis of (IX) with KOH in dioxane gives the corresponding acid (X), which is esterified with N-hydroxysuccinimide (XI) and EDC to give the activated ester (XII). The epoxidation of (XII) with oxone or MCPBA, followed by HPLC chromatography separation of the resulting mixture of epoxides, gives the (2E,5S,6S,7R,8R)-5-(tert-butyldimethylsilyloxy)-7,8-epoxy-6-methyl-8-phenyl-2-octenoic acid N-succinimidinyl ester (XIII). The condensation of activated ester (XIII) with amino acid (XIV) yields the corresponding amide (XV), which is desilylated with TBAF in DMF to afford the hydroxyacid (XVI). Finally, compound (XVI) is treated with DMSO and NaHCO3 and tert-butyl bromide to provide the desired intermediate the epoxyamide (XVII).

合成路线图解说明:

The deprotection of the carbamate (XVIII) by means of TFA gives the free aminoester (XIX), which is reprotected with Fmoc-Cl and NaHCO3 yielding the acid (XX). The esterification of the hydroxy group of he intermediate (XVII) with the acid group of (XX) by means of EDC affords the expected ester (XXI). The oxidation of the methylsulfanyl group of (XXI) with oxone affords the corresponding methylsulfonylmethyl ester (XXII), which is finally cyclized by means of piperidine in DMF.

参考文献No.579446
标题:Synthesis of cryptophycin 52 using the Sharpless asymetric dihydroxylation: Diol to epoxide transformation optimized for a base-sensitive substrate
作者:Liang, J.; Moher, E.D.; Moore, R.E.; Hoard, D.W.
来源:J Org Chem 2000,65(10),3143
合成路线图解说明:

The previously reported open-chain styrene intermediate (I) is submitted to a Sharpless asymmetric epoxidation to give, after chromatographic purification, the diol (II), which is cyclized by means of TFA and 2-hydroxypyridine yielding the macrocycle (III). The reaction of (III) with trimethyl orthoformate and pyridinium p-toluenesulfonate (PPTS) in dichloromethane affords the cyclic orthoester (IV), which is treated with trimethylsilyl iodide to provide the iodo formate (V). Finally, this compound is converted into the target macrocyclic epoxide by treatment with K2CO3 in methanol/THF. Alternatively, the intermediate cyclic orthoester (IV) can be treated with acetyl bromide to give the bromo formate (VI), which is converted into the target epoxide by reaction with K2CO3 as before.

参考文献No.672835
标题:Synthesis of cryptophycin 52 using the shi epoxidation
作者:Hoard, D.W.; Moher, E.D.; Martinelli, M.J.; Norman, B.H.
来源:Org Lett 2002,4(10),1813
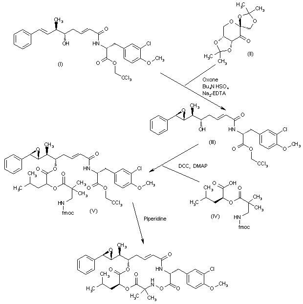
合成路线图解说明:

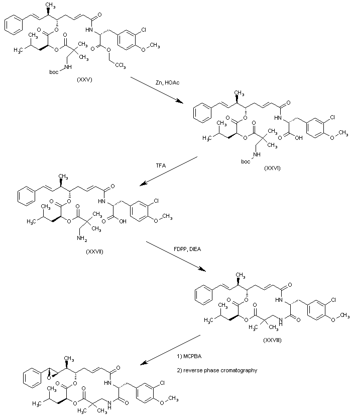
The epoxidation of the octadienamide intermediate (I) (scheme no. 26150102b, intermediate (XXIV)) by means of ketone (II), Oxone, Bu4N HSO4 and Na2-EDTA in acetonitrile/water gives the epoxide (III), which is condensed with the pentanoic acid (IV) by means of DCC and DMAP in dichloromethane to yield the ester (V). Finally, this compound is deprotected and submitted to macrocyclization by means of piperidine in DMF to afford the target Cryptophycin 52.

参考文献No.900130
标题:
作者:
来源:WO 9640184
合成路线图解说明:

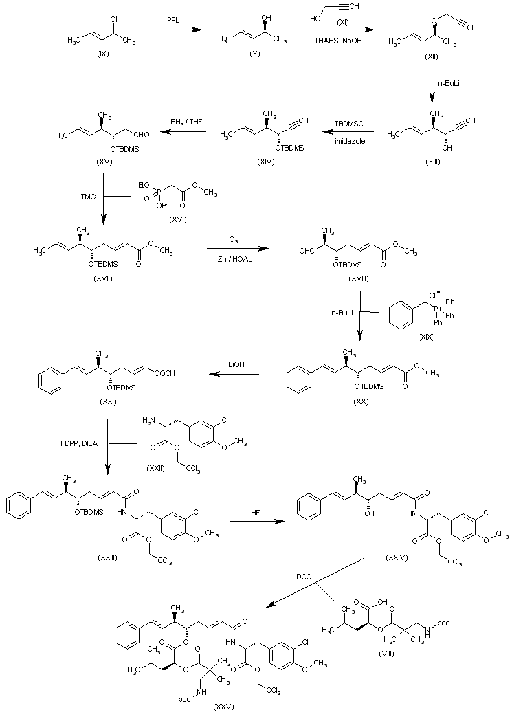
Synthesis of intermediate 2(S)-[3-(tert-butoxycarbonylamino)-2,2-dimethylpropionyloxy]-4-methylpentanoic acid (VIII): The reaction of 3-amino-2,2-dimethyl-1-propanol (I) with Boc2 and Et3N in methanol gives the carbamate (II), which is oxidized with NaIO4 in CCl4/acetonitrile/water yielding 3-(tert-butoxycarbonylamino)-2,2-dimethylpropionic acid (III). The esterification of 2(S)-hydroxy-4-methylpentanoic acid (IV) with allyl bromide (V), NaHCO3 and tetrabutylammonium chloride in dichloromethane/water affords the corresponding allyl ester (VI). The esterification of hydroxyester (VI) with amino acid (II) by means of DCC and DMAP in dichloromethane provides the corresponding diester (VII), which is finally treated with Pd(PPh3)4 and morpholine in THF to furnish the intermediate 2(S)-[3-(tert-butoxycarbonylamino)-2,2-dimethylpropionyloxy]-4-methylpentanoic acid (VIII).

合成路线图解说明:

Synthesis of 261501: The optical resolution of trans-3-penten-2-ol (IX) with porcine pancreatic lipase (PPL) and trifluoroethyl laurate in ethyl ether gives the (S)-trans-isomer (X), which is condensed with propargyl alcohol (XI) by means of tetrabutylammonium hyrogensulfate and NaOH in water, yielding the corresponding ether (XII). Rearrangement of (XII) by means of BuLi in THF affords (3R,4R,5E)-4-methylhept-5-en-1-yn-3-ol (XIII), which is silylated with Tbdms-Cl and imidazole to afford the corresponding silyl ether (XIV). The reaction of (XIV) with BH3 in THF provides the aldehyde (XV), which is condensed with phosphonate (XVI) by means of tetramethylguanidine (TMG) in THF to give the nonadienoic ester (XVII). Ozonolysis of (XVII), followed by reaction with Zn/HOAc yields the aldehyde (XVIII), which is condensed with benzyltriphenylphosphonium chloride (XIX) by means of BuLi in THF to afford the 8-phenyloctadienoic ester (XX). The hydrolysis of (XX) with LiOH in acetone/water furnishes the corresponding free acid (XXI), which is condensed with 3-chloro-4-methoxy-L-phenylalanine trichloroethyl ester (XXII) by means of pentafluorodiphenylphosphinate (FDPP) and DIEA in DMF to give the corresponding amide (XXIII). The desilylation of (XXIII) with aqueous HF in acetonitrile affords the hydroxyamide (XXIV), which is esterified with the intermediate 2(S)-[3-(tert-butoxycarbonylamino)-2,2-dimethylpropionyloxy]-4-methylpentanoic acid (VIII) by means of DCC and DMAP in dichloromethane gives the corresponding ester (XXV).

合成路线图解说明:

Elimination of the trichloroethyl group of (XXV) with Zn in acetic acid gives the carboxyl free intermediate (XXVI), which is treated with TFA to yield intermediate (XXVII) with free amino and carboxy groups. The cyclization of (XXVII) with pentafluorodiphenylphosphinate (FDPP) and DIEA in DMF affords the corresponding cyclic amide (XXVIII), which is finally epoxidated with MCPBA in dichloromethane, furnishing a diastereomeric mixture of epoxides that are separated by reverse phase chromatography.

合成路线图解说明:

The previously reported open-chain styrene intermediate (I) is submitted to a Sharpless asymmetric epoxidation to give, after chromatographic purification, the diol (II), which is cyclized by means of TFA and 2-hydroxypyridine yielding the macrocycle (III). The reaction of (III) with trimethyl orthoformate and pyridinium p-toluenesulfonate (PPTS) in dichloromethane affords the cyclic orthoester (IV), which is treated with trimethylsilyl iodide to provide the iodo formate (V). Finally, this compound is converted into the target macrocyclic epoxide by treatment with K2CO3 in methanol/THF. Alternatively, the intermediate cyclic orthoester (IV) can be treated with acetyl bromide to give the bromo formate (VI), which is converted into the target epoxide by reaction with K2CO3 as before.

Drug Information Express,Drug R&D,Chemical Database,Patent Search.
Copyright © 2006-2026 Drug Future. All rights reserved.Contact Us