【药物名称】Epoxymexrenone, Eplerenone, CGP-30083, SC-66110, Inspra
化学结构式(Chemical Structure):
参考文献No.1804
标题:20-Spiroxanes and analogues having an open ring E, processes for their manufacture, and pharmaceutical preparations thereof
作者:Grob, J.; Kaldova, J. (Novartis AG)
来源:EP 0122232; ES 8602846; ES 8705459; ES 8705460; ES 8705461; JP 1984231100; US 4559332
合成路线图解说明:

The already reported trienone (XIX) was treated with HCN and triethylaluminum to yield the 7alpha-cyano derivative (LXIII), which was reduced to the corresponding hydroxy-aldehyde (LXIV) with DIBAL. The oxidation of (LXIV) with CrO3 afforded the keto-acid (LXV), which was methylated with diazomethane to the already reported dienone (VIII). Finally, this compound was epoxidized to eplerenone with H2O2 as described or by means of m-chloroperbenzoic acid.

参考文献No.36758
标题:Process for preparation of 7 alpha-carboxyl 9,11-epoxy steroids and intermediates useful therein and a general process for the epoxidation of olifinic double bonds
作者:Ng, J.S.; Wang, P.T.; Baez, J.A.; Liu, C.; Anderson, D.K.; Lawson, J.P.; Erb, D.; Wieczorek, J.; Mucciariello, G.; Vanzanella, F.; Kunda, S.A.; Letendre, L.J.; Pozzo, M.J.; Sing, Y.-L.L. (Pharmacia Corp.)
来源:WO 9721720
合成路线图解说明:

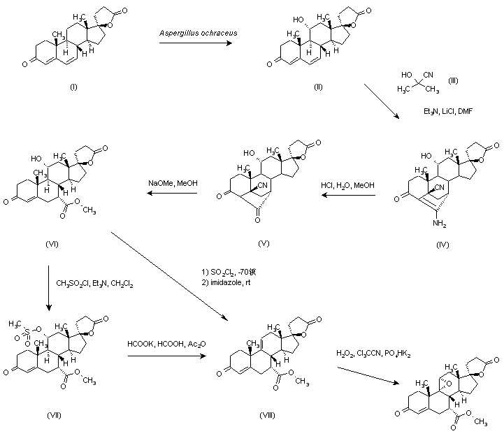
Microbiological hydroxylation of canrenone (I) provided the 11-a hydroxy derivative (II). This was converted to enamino compound (IV) by double addition of cyanide, followed by cyclization, on treatment with acetone cyanohydrin (III) in the presence of triethylamine and lithium chloride in DMF or, alternatively, by treatment with sodium cyanide and sulfuric acid. Hydrolysis of enamine (IV) with HCl in a methanol-water solution gave diketone (V), and further reaction with sodium methoxide in refluxing methanol gave hydroxyester (VI). After mesylation of the 11-a hydroxyl group with with mesyl chloride and triethylamine in cold dichloromethane, elimination of the resulting sulfonate (VII) to give olefin (VIII) was achieved on treatment with potassium formate in a mixture of formic acid and acetic anhydride at 100 C. Other conditions used for the elimination were potassium acetate in trifluoroacetic acid-trifluoroacetic anhydride, isopropenyl acetate and p-TsOH, or thermoelimination in DMSO at 80 C. Alternatively, hydroxyester (VI) was reacted with sulfuryl chloride at -70 C, and then treated with imidazole at room temperature to afford olefin (VIII). Finally, epoxidation was performed by reaction with hydrogen peroxide in the presence of trichloroacetamide or trichloroacetonitrile and PO4HK2 to give eplerenone.

合成路线图解说明:

In a related way, canrenone (I) was converted to mexrenone (XI) by an analogous sequence including cyanide addition to give enamine (IX), hydrolysis to diketone (X), and ring opening with NaOMe. The microbiological oxidation of mexrenone (XI) yielded either the 9-a (XII) or the 11-b (XIII) hydroxylated compounds, which were dehydrated to the olefin (VIII), whose epoxidation, as before, afforded eplerenone.

合成路线图解说明:

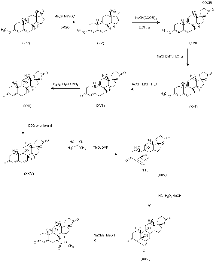
Starting from enol ether (XIV), its reaction with the sulfonium ylide from trimethylsulfonium methylsulfate and KOH in DMSO-THF at 80 C afforded epoxide (XV). This was converted to the lactone (XVI) by treatment with diethyl malonate and sodium ethoxide in refluxing ethanol, and then decarboxylated to (XVII) on heating with NaCl in moist DMF. Hydrolysis of enol ether with AcOH in boiling ethanol-water provided dienone (XVIII), which was oxidized to trienone (XIX) by means of a sequence consisting of halogenation with N-bromosuccinimide and then dehydrohalogenation with DABCO and LiBr in DMF. Using the analogous reactions as in Scheme 1, (XIX) was converted to enamine (XX), then hydrolyzed to diketone (XXI), treated with NaOMe to give dienone (XXII), and finally converted to the target epoxide.

合成路线图解说明:

Alternatively, lactone (XVIII) obtained from enol ether (XIV) as in the Scheme 3, was epoxidized to give (XXIII), which was dehydrogenated using either DDQ or chloranil to afford dienone (XXIV). Conversion to enamine (XXV), then hydrolysis to diketone (XXVI), and ring opening with NaOMe furnished eplerenone.

合成路线图解说明:

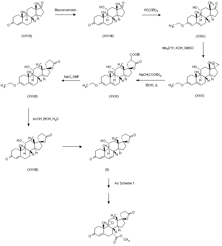
Microbiological oxidation of androstenedione (XXVII) produced the 11-a hydroxy compound (XXVIII), which was converted to enol ether (XXIX) on treatment with triethyl orthoformate and toluenesulfonic acid. Reaction with trimethyl sulfonium ylide provided epoxide (XXX), and a sequence analogous to Scheme 26146601c then produced lactone (XXXI), decarboxylated compound (XXXII), and enone (XXXIII). This was dehydrogenated to dienone (II), which was converted to the title compound by the synthetic steps described in Scheme 26146601a.

合成路线图解说明:

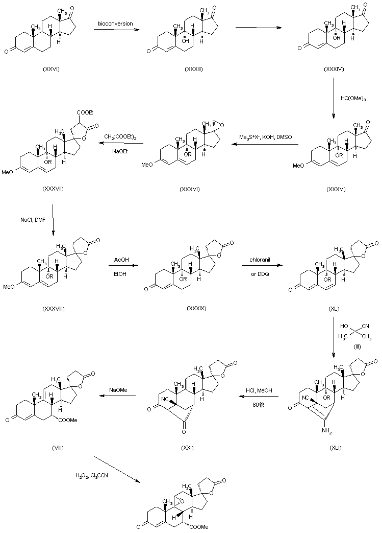
Microbiological oxidation of androstenedione (XXVI) produced the 9alpha-hydroxy compound (XXXIII), which was protected, yielding the ether (XXXIV). The reaction of (XXXIV) with trimethyl orthoformate afforded the enol ether (XXXV), which by a reaction sequence analogous to Scheme 3 provided epoxide (XXXVI), lactone-carboxylic acid ester (XXXVII), decarboxylated lactone (XXXVIII) and finally enone (XXXIX). Dehydrogenation of (XXXIX) with DDQ or chloranil afforded dienone (XL), which by reaction with acetone cyanohydrin in a sequence analogous to Scheme 26146601a gave enamine (XLI). The treatment of (XLI) with HCl in methanol at 80 C yielded the already described unsaturated diketone (XXI), which was worked up as described in Scheme 26146601c, giving eplerenone.

合成路线图解说明:

Microbiological conversion of beta-sitosterol (XLII), cholesterol (XLIII) or stigmasterol (XLIV) also yielded the 11alpha-hydroxy compound (XXVII), already reported, which was worked up to afford eplerenone as described in Scheme 26146601e.

参考文献No.39343
标题:Processes for preparation of 9,11-epoxy steroids and intermediates useful therein
作者:Pozzo, M.J.; Anderson, D.K.; Baez, J.A.; Ng, J.S.; Yonan, E.E.; Weier, R.M.; Liu, C.; Kunda, S.A.; Wang, P.T.; Kowar, T.R.; Erb, B.; Letendre, L.J.; Sing, Y.-L.-L.; Wieczorek, J.; Lawson, J.P. (Pharmacia Corp.)
来源:WO 9825948
合成路线图解说明:

Microbiological hydroxylation of canrenone (I) provided the 11-a hydroxy derivative (II). This was converted to enamino compound (IV) by double addition of cyanide, followed by cyclization, on treatment with acetone cyanohydrin (III) in the presence of triethylamine and lithium chloride in DMF or, alternatively, by treatment with sodium cyanide and sulfuric acid. Hydrolysis of enamine (IV) with HCl in a methanol-water solution gave diketone (V), and further reaction with sodium methoxide in refluxing methanol gave hydroxyester (VI). After mesylation of the 11-a hydroxyl group with with mesyl chloride and triethylamine in cold dichloromethane, elimination of the resulting sulfonate (VII) to give olefin (VIII) was achieved on treatment with potassium formate in a mixture of formic acid and acetic anhydride at 100 C. Other conditions used for the elimination were potassium acetate in trifluoroacetic acid-trifluoroacetic anhydride, isopropenyl acetate and p-TsOH, or thermoelimination in DMSO at 80 C. Alternatively, hydroxyester (VI) was reacted with sulfuryl chloride at -70 C, and then treated with imidazole at room temperature to afford olefin (VIII). Finally, epoxidation was performed by reaction with hydrogen peroxide in the presence of trichloroacetamide or trichloroacetonitrile and PO4HK2 to give eplerenone.

合成路线图解说明:

In a related way, canrenone (I) was converted to mexrenone (XI) by an analogous sequence including cyanide addition to give enamine (IX), hydrolysis to diketone (X), and ring opening with NaOMe. The microbiological oxidation of mexrenone (XI) yielded either the 9-a (XII) or the 11-b (XIII) hydroxylated compounds, which were dehydrated to the olefin (VIII), whose epoxidation, as before, afforded eplerenone.

合成路线图解说明:

Starting from enol ether (XIV), its reaction with the sulfonium ylide from trimethylsulfonium methylsulfate and KOH in DMSO-THF at 80 C afforded epoxide (XV). This was converted to the lactone (XVI) by treatment with diethyl malonate and sodium ethoxide in refluxing ethanol, and then decarboxylated to (XVII) on heating with NaCl in moist DMF. Hydrolysis of enol ether with AcOH in boiling ethanol-water provided dienone (XVIII), which was oxidized to trienone (XIX) by means of a sequence consisting of halogenation with N-bromosuccinimide and then dehydrohalogenation with DABCO and LiBr in DMF. Using the analogous reactions as in Scheme 1, (XIX) was converted to enamine (XX), then hydrolyzed to diketone (XXI), treated with NaOMe to give dienone (XXII), and finally converted to the target epoxide.

合成路线图解说明:

Alternatively, lactone (XVIII) obtained from enol ether (XIV) as in the Scheme 3, was epoxidized to give (XXIII), which was dehydrogenated using either DDQ or chloranil to afford dienone (XXIV). Conversion to enamine (XXV), then hydrolysis to diketone (XXVI), and ring opening with NaOMe furnished eplerenone.

合成路线图解说明:

Microbiological oxidation of androstenedione (XXVII) produced the 11-a hydroxy compound (XXVIII), which was converted to enol ether (XXIX) on treatment with triethyl orthoformate and toluenesulfonic acid. Reaction with trimethyl sulfonium ylide provided epoxide (XXX), and a sequence analogous to Scheme 26146601c then produced lactone (XXXI), decarboxylated compound (XXXII), and enone (XXXIII). This was dehydrogenated to dienone (II), which was converted to the title compound by the synthetic steps described in Scheme 26146601a.

合成路线图解说明:

Microbiological oxidation of androstenedione (XXVI) produced the 9alpha-hydroxy compound (XXXIII), which was protected, yielding the ether (XXXIV). The reaction of (XXXIV) with trimethyl orthoformate afforded the enol ether (XXXV), which by a reaction sequence analogous to Scheme 3 provided epoxide (XXXVI), lactone-carboxylic acid ester (XXXVII), decarboxylated lactone (XXXVIII) and finally enone (XXXIX). Dehydrogenation of (XXXIX) with DDQ or chloranil afforded dienone (XL), which by reaction with acetone cyanohydrin in a sequence analogous to Scheme 26146601a gave enamine (XLI). The treatment of (XLI) with HCl in methanol at 80 C yielded the already described unsaturated diketone (XXI), which was worked up as described in Scheme 26146601c, giving eplerenone.

合成路线图解说明:

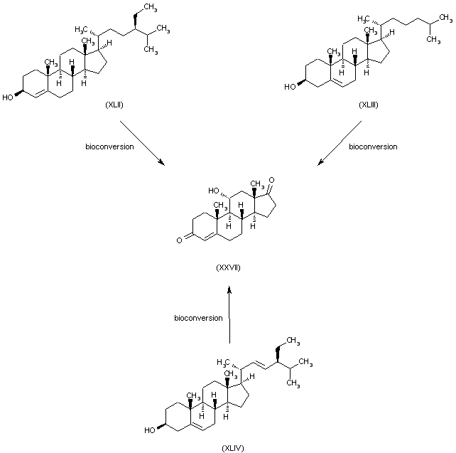
Microbiological conversion of beta-sitosterol (XLII), cholesterol (XLIII) or stigmasterol (XLIV) also yielded the 11alpha-hydroxy compound (XXVII), already reported, which was worked up to afford eplerenone as described in Scheme 26146601e.

合成路线图解说明:

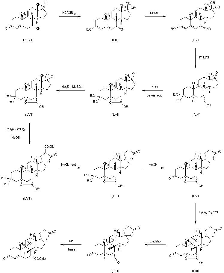
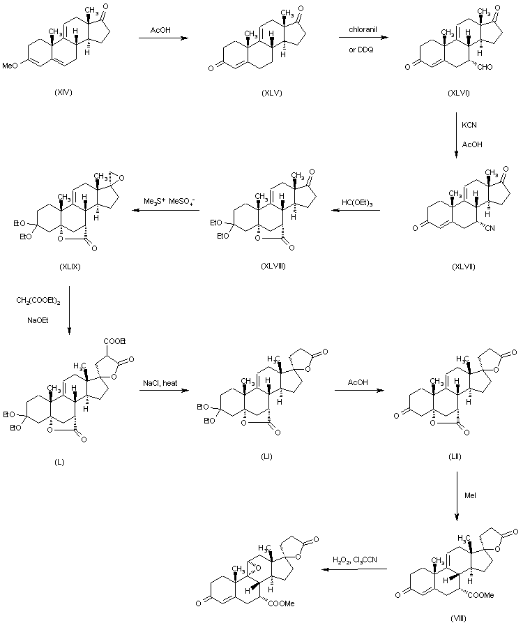
The hydrolysis of enol ether (XIV) with acetic acid gave androstenedione (XLV), which was dehydrogenated with DDQ or chloranil to androstadienedione (XLVI). The reaction of (XLVI) with KCN and acetic acid yielded the 7alpha-cyano compound (XLVII), which was treated with triethyl orthoformate, affording lactone (XLVIII). This compound (XLVIII), by a reaction sequence analogous to Scheme 26146601c, provided epoxide (XLIX), lactone-carboxylic acid ester (L), decarboxylated lactone (LI) and finally enone (LII). The reaction of (LII) with methyl iodide in basic medium afforded the already reported dienone (VIII), which was epoxidized to eplerenone as before.

合成路线图解说明:

Alternatively, the already reported 7alpha-cyanoandrosta-4,9(11)-diene-3,17-dione (XLVII) was treated with triethyl orthoformate to give the triethoxy derivative (LIII), which was reduced with DIBAL to the corresponding aldehyde (LIV). The selective hydrolysis of (LIV) with dilute acid yielded the keto-lactol (LV), which by alkylation with ethanol and a Lewis acid provided intermediate (LVI). Compound (LVI) was submitted to a reaction sequence analogous to Scheme 26146601c, yielding epoxide (LVII), lactone-carboxylic acid ester (LVIII) and finally decarboxylated lactone (LIX). The hydrolysis of (LIX) in an acid medium gave the unsaturated keto-lactol (LX), which was epoxidized as usual, yielding the epoxy-lactol (LXI). The oxidation of (LXI) provided the epoxy-lactone (LXII), which was finally treated with methyl iodide in basic medium, affording eplerenone.

参考文献No.526908
标题:Eplerenone
作者:Rabasseda, X.; Silvestre, J.; Casta馿r, J.
来源:Drugs Fut 1999,24(5),488
合成路线图解说明:

Microbiological hydroxylation of canrenone (I) provided the 11-a hydroxy derivative (II). This was converted to enamino compound (IV) by double addition of cyanide, followed by cyclization, on treatment with acetone cyanohydrin (III) in the presence of triethylamine and lithium chloride in DMF or, alternatively, by treatment with sodium cyanide and sulfuric acid. Hydrolysis of enamine (IV) with HCl in a methanol-water solution gave diketone (V), and further reaction with sodium methoxide in refluxing methanol gave hydroxyester (VI). After mesylation of the 11-a hydroxyl group with with mesyl chloride and triethylamine in cold dichloromethane, elimination of the resulting sulfonate (VII) to give olefin (VIII) was achieved on treatment with potassium formate in a mixture of formic acid and acetic anhydride at 100 C. Other conditions used for the elimination were potassium acetate in trifluoroacetic acid-trifluoroacetic anhydride, isopropenyl acetate and p-TsOH, or thermoelimination in DMSO at 80 C. Alternatively, hydroxyester (VI) was reacted with sulfuryl chloride at -70 C, and then treated with imidazole at room temperature to afford olefin (VIII). Finally, epoxidation was performed by reaction with hydrogen peroxide in the presence of trichloroacetamide or trichloroacetonitrile and PO4HK2 to give eplerenone.

合成路线图解说明:

In a related way, canrenone (I) was converted to mexrenone (XI) by an analogous sequence including cyanide addition to give enamine (IX), hydrolysis to diketone (X), and ring opening with NaOMe. The microbiological oxidation of mexrenone (XI) yielded either the 9-a (XII) or the 11-b (XIII) hydroxylated compounds, which were dehydrated to the olefin (VIII), whose epoxidation, as before, afforded eplerenone.

合成路线图解说明:

Starting from enol ether (XIV), its reaction with the sulfonium ylide from trimethylsulfonium methylsulfate and KOH in DMSO-THF at 80 C afforded epoxide (XV). This was converted to the lactone (XVI) by treatment with diethyl malonate and sodium ethoxide in refluxing ethanol, and then decarboxylated to (XVII) on heating with NaCl in moist DMF. Hydrolysis of enol ether with AcOH in boiling ethanol-water provided dienone (XVIII), which was oxidized to trienone (XIX) by means of a sequence consisting of halogenation with N-bromosuccinimide and then dehydrohalogenation with DABCO and LiBr in DMF. Using the analogous reactions as in Scheme 1, (XIX) was converted to enamine (XX), then hydrolyzed to diketone (XXI), treated with NaOMe to give dienone (XXII), and finally converted to the target epoxide.

合成路线图解说明:

Alternatively, lactone (XVIII) obtained from enol ether (XIV) as in the Scheme 3, was epoxidized to give (XXIII), which was dehydrogenated using either DDQ or chloranil to afford dienone (XXIV). Conversion to enamine (XXV), then hydrolysis to diketone (XXVI), and ring opening with NaOMe furnished eplerenone.

合成路线图解说明:

Microbiological oxidation of androstenedione (XXVII) produced the 11-a hydroxy compound (XXVIII), which was converted to enol ether (XXIX) on treatment with triethyl orthoformate and toluenesulfonic acid. Reaction with trimethyl sulfonium ylide provided epoxide (XXX), and a sequence analogous to Scheme 26146601c then produced lactone (XXXI), decarboxylated compound (XXXII), and enone (XXXIII). This was dehydrogenated to dienone (II), which was converted to the title compound by the synthetic steps described in Scheme 26146601a.

合成路线图解说明:

Microbiological oxidation of androstenedione (XXVI) produced the 9alpha-hydroxy compound (XXXIII), which was protected, yielding the ether (XXXIV). The reaction of (XXXIV) with trimethyl orthoformate afforded the enol ether (XXXV), which by a reaction sequence analogous to Scheme 3 provided epoxide (XXXVI), lactone-carboxylic acid ester (XXXVII), decarboxylated lactone (XXXVIII) and finally enone (XXXIX). Dehydrogenation of (XXXIX) with DDQ or chloranil afforded dienone (XL), which by reaction with acetone cyanohydrin in a sequence analogous to Scheme 26146601a gave enamine (XLI). The treatment of (XLI) with HCl in methanol at 80 C yielded the already described unsaturated diketone (XXI), which was worked up as described in Scheme 26146601c, giving eplerenone.

合成路线图解说明:

Microbiological conversion of beta-sitosterol (XLII), cholesterol (XLIII) or stigmasterol (XLIV) also yielded the 11alpha-hydroxy compound (XXVII), already reported, which was worked up to afford eplerenone as described in Scheme 26146601e.

合成路线图解说明:

The hydrolysis of enol ether (XIV) with acetic acid gave androstenedione (XLV), which was dehydrogenated with DDQ or chloranil to androstadienedione (XLVI). The reaction of (XLVI) with KCN and acetic acid yielded the 7alpha-cyano compound (XLVII), which was treated with triethyl orthoformate, affording lactone (XLVIII). This compound (XLVIII), by a reaction sequence analogous to Scheme 26146601c, provided epoxide (XLIX), lactone-carboxylic acid ester (L), decarboxylated lactone (LI) and finally enone (LII). The reaction of (LII) with methyl iodide in basic medium afforded the already reported dienone (VIII), which was epoxidized to eplerenone as before.

合成路线图解说明:

Alternatively, the already reported 7alpha-cyanoandrosta-4,9(11)-diene-3,17-dione (XLVII) was treated with triethyl orthoformate to give the triethoxy derivative (LIII), which was reduced with DIBAL to the corresponding aldehyde (LIV). The selective hydrolysis of (LIV) with dilute acid yielded the keto-lactol (LV), which by alkylation with ethanol and a Lewis acid provided intermediate (LVI). Compound (LVI) was submitted to a reaction sequence analogous to Scheme 26146601c, yielding epoxide (LVII), lactone-carboxylic acid ester (LVIII) and finally decarboxylated lactone (LIX). The hydrolysis of (LIX) in an acid medium gave the unsaturated keto-lactol (LX), which was epoxidized as usual, yielding the epoxy-lactol (LXI). The oxidation of (LXI) provided the epoxy-lactone (LXII), which was finally treated with methyl iodide in basic medium, affording eplerenone.

合成路线图解说明:

The already reported trienone (XIX) was treated with HCN and triethylaluminum to yield the 7alpha-cyano derivative (LXIII), which was reduced to the corresponding hydroxy-aldehyde (LXIV) with DIBAL. The oxidation of (LXIV) with CrO3 afforded the keto-acid (LXV), which was methylated with diazomethane to the already reported dienone (VIII). Finally, this compound was epoxidized to eplerenone with H2O2 as described or by means of m-chloroperbenzoic acid.

参考文献No.527941
标题:Steroidal, aldosterone antagonists: Increased selectivity of 9alpha,11-epoxy derivatives
作者:Grob, J.; Boillaz, M.; Schmidlin, J.; et al.
来源:Helv Chim Acta 1997,80(2),566
合成路线图解说明:

The already reported trienone (XIX) was treated with HCN and triethylaluminum to yield the 7alpha-cyano derivative (LXIII), which was reduced to the corresponding hydroxy-aldehyde (LXIV) with DIBAL. The oxidation of (LXIV) with CrO3 afforded the keto-acid (LXV), which was methylated with diazomethane to the already reported dienone (VIII). Finally, this compound was epoxidized to eplerenone with H2O2 as described or by means of m-chloroperbenzoic acid.

Drug Information Express,Drug R&D,Chemical Database,Patent Search.
Copyright © 2006-2026 Drug Future. All rights reserved.Contact Us