【药物名称】KCO-616, WAY-151616
化学结构式(Chemical Structure):
参考文献No.35569
标题:Substd. N-arylmethylamino derivs. of cyclobutene-3, 4-diones
作者:Antane, M.M.; Herbst, D.R.; McFarlane, G.R.; Gundersen, E.G.; Hirth, B.H.; Quagliato, D.A.; Graceffa, R.F.; Butera, J.A.; Gilbert, A.M. (American Home Products Corp.)
来源:US 5763474; US 5780505; WO 9802413
合成路线图解说明:

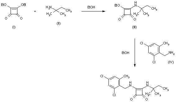
A general synthetic route to a series of novel N-aryl and N-benzyl diaminocyclobutenedione derivatives and pertinent SAR data have been reported elsewhere. KCO-616 can be conveniently synthesized in two steps as shown in Scheme 26121401a. An ethanolic solution of 3,4-diethoxy-3-cyclobutene-1,2-dione (I) is allowed to react with tert-amylamine (II) at room temperature for a period of 24 h to give intermediate 3-(1,1-dimethylpropylamino)-4-ethoxy-3-cyclobutene-1,2-dione (III) in 90% isolated, purified yield. The condensation of this compound with 2,4-dichloro-6-methylbenzylamine (IV, recrystallized from boiling diethyl ether) in ethanol at room temperature for 24 h affords analytically pure 3-(2,4-dichloro-6-methylbenzylamino)-4-(1,1-dimethylpropylamino)-3-cyclobutene-1,2-dione (KCO-616) in 92% yield.

合成路线图解说明:

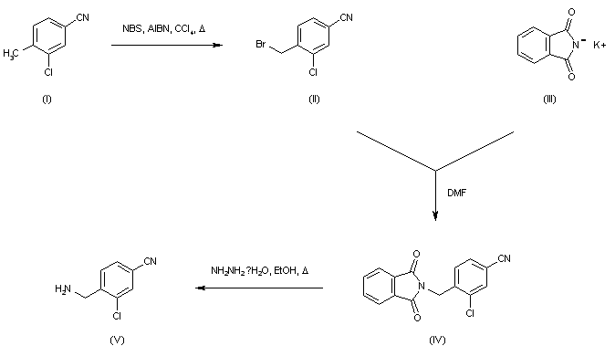
Benzylic bromination of 3-chloro-4-methylbenzonitrile (I) by means of N-bromosuccinimide and azobis(isobutyronitrile) provided bromide (II). Subsequent displacement of the bromine atom of (III) by potassium phthalimide (III) afforded the N-substituted phthalimide (IV), which was then deprotected with ethanolic hydrazine to furnish the primary amine (V).

合成路线图解说明:

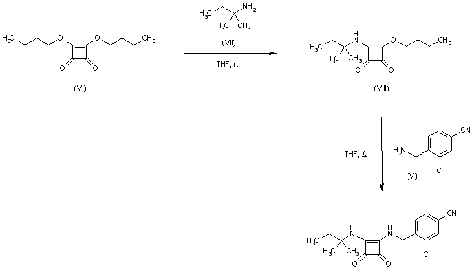
Treatment of 3,4-dibutoxy-3-cyclobutene-1,2-dione (VI) with tert-butylamine (VII) yielded the amino cyclobutenedione (VIII). Subsequent condensation of (VIII) with 3-chloro-4-(aminomethyl)benzonitrile (V) in THF provided the target diamino derivative.

合成路线图解说明:

Benzylic bromination of 3-chloro-4-methylbenzonitrile (I) by means of N-bromosuccinimide and azobis(isobutyronitrile) provided bromide (II). Subsequent displacement of the bromine atom of (II) by potassium phthalimide (III) afforded the N-substituted phthalimide (IV), which was then deprotected with ethanolic hydrazine to furnish the primary amine (V).

合成路线图解说明:

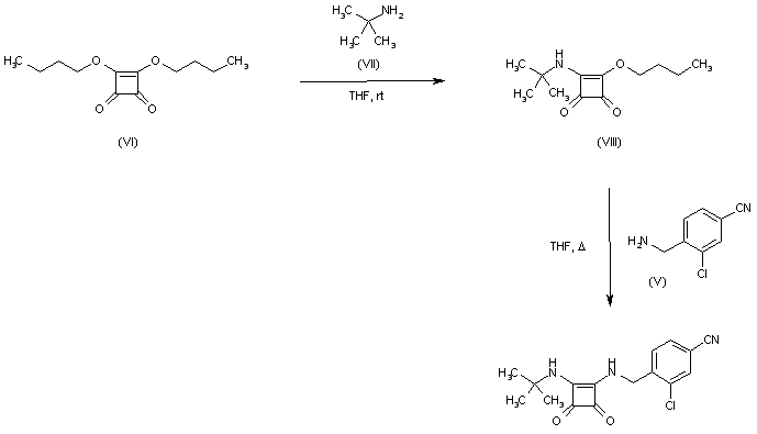
Treatment of 3,4-dibutoxy-3-cyclobutene-1,2-dione (VI) with 1,1-dimethylpropylamine (VII) yielded the amino cyclobutenedione (VIII). Subsequent condensation of (VIII) with 3-chloro-4-(aminomethyl)benzonitrile (V) in THF provided the target diamino derivative.

参考文献No.432847
标题:Substituted N-aryl-1,2-diaminocyclobutene-3,4-diones. I. N-Cyanoguanidine bioisosteres possessing in vivo bladder selectivity
作者:Butera, J.A.; et al.
来源:214th ACS Natl Meet (Sept. 7-11, Las Vegas) 1997,Abst MEDI 044
合成路线图解说明:

A general synthetic route to a series of novel N-aryl and N-benzyl diaminocyclobutenedione derivatives and pertinent SAR data have been reported elsewhere. KCO-616 can be conveniently synthesized in two steps as shown in Scheme 26121401a. An ethanolic solution of 3,4-diethoxy-3-cyclobutene-1,2-dione (I) is allowed to react with tert-amylamine (II) at room temperature for a period of 24 h to give intermediate 3-(1,1-dimethylpropylamino)-4-ethoxy-3-cyclobutene-1,2-dione (III) in 90% isolated, purified yield. The condensation of this compound with 2,4-dichloro-6-methylbenzylamine (IV, recrystallized from boiling diethyl ether) in ethanol at room temperature for 24 h affords analytically pure 3-(2,4-dichloro-6-methylbenzylamino)-4-(1,1-dimethylpropylamino)-3-cyclobutene-1,2-dione (KCO-616) in 92% yield.

参考文献No.546039
标题:Benzylamino analogs of 1,2-diaminocyclobutene-3,4-dione as novel KATP-channel openers targeted for treatment of urge urinary incontinence
作者:McFarlane, G.R.; Gundersen, E.G.; Elokdah, H.; et al.
来源:218th ACS Natl Meet (Aug 22 1999, New Orleans) 1999,Abst MEDI 35
合成路线图解说明:

A general synthetic route to a series of novel N-aryl and N-benzyl diaminocyclobutenedione derivatives and pertinent SAR data have been reported elsewhere. KCO-616 can be conveniently synthesized in two steps as shown in Scheme 26121401a. An ethanolic solution of 3,4-diethoxy-3-cyclobutene-1,2-dione (I) is allowed to react with tert-amylamine (II) at room temperature for a period of 24 h to give intermediate 3-(1,1-dimethylpropylamino)-4-ethoxy-3-cyclobutene-1,2-dione (III) in 90% isolated, purified yield. The condensation of this compound with 2,4-dichloro-6-methylbenzylamine (IV, recrystallized from boiling diethyl ether) in ethanol at room temperature for 24 h affords analytically pure 3-(2,4-dichloro-6-methylbenzylamino)-4-(1,1-dimethylpropylamino)-3-cyclobutene-1,2-dione (KCO-616) in 92% yield.

参考文献No.568834
标题:KCO-616
作者:Butera, J.A.; Argentieri, T.M.
来源:Drugs Fut 2000,25(3),239
合成路线图解说明:

A general synthetic route to a series of novel N-aryl and N-benzyl diaminocyclobutenedione derivatives and pertinent SAR data have been reported elsewhere. KCO-616 can be conveniently synthesized in two steps as shown in Scheme 26121401a. An ethanolic solution of 3,4-diethoxy-3-cyclobutene-1,2-dione (I) is allowed to react with tert-amylamine (II) at room temperature for a period of 24 h to give intermediate 3-(1,1-dimethylpropylamino)-4-ethoxy-3-cyclobutene-1,2-dione (III) in 90% isolated, purified yield. The condensation of this compound with 2,4-dichloro-6-methylbenzylamine (IV, recrystallized from boiling diethyl ether) in ethanol at room temperature for 24 h affords analytically pure 3-(2,4-dichloro-6-methylbenzylamino)-4-(1,1-dimethylpropylamino)-3-cyclobutene-1,2-dione (KCO-616) in 92% yield.

参考文献No.568851
标题:Desing and SAR of novel potassium channel openers targeted for urge urinary incontinence. 2. Selective and potent benzylamino cyclobutenediones
作者:Gilbert, A.M.; Antane, M.M.; Argentieri, T.M.; Butera, J.A.; Francisco, G.D.; Freeden, C.; Gundersen, E.G.; Graceffa, R.F.; Herbst, D.; Hirth, B.H.; Lennox, J.R.; McFarlane, G.; Norton, N.W.; Quagliato, D.; Sheldon, J.H.; Warga, D.; Wojdan, A.; Woods, M.
来源:J Med Chem 2000,43(6),1203
合成路线图解说明:

A general synthetic route to a series of novel N-aryl and N-benzyl diaminocyclobutenedione derivatives and pertinent SAR data have been reported elsewhere. KCO-616 can be conveniently synthesized in two steps as shown in Scheme 26121401a. An ethanolic solution of 3,4-diethoxy-3-cyclobutene-1,2-dione (I) is allowed to react with tert-amylamine (II) at room temperature for a period of 24 h to give intermediate 3-(1,1-dimethylpropylamino)-4-ethoxy-3-cyclobutene-1,2-dione (III) in 90% isolated, purified yield. The condensation of this compound with 2,4-dichloro-6-methylbenzylamine (IV, recrystallized from boiling diethyl ether) in ethanol at room temperature for 24 h affords analytically pure 3-(2,4-dichloro-6-methylbenzylamino)-4-(1,1-dimethylpropylamino)-3-cyclobutene-1,2-dione (KCO-616) in 92% yield.

参考文献No.570674
标题:Design and SAR of novel potassium channel openers targeted for urge urinary incontinence. I. N-Cyanoguanidine bioisosteres possessing in vivo bladder selectivity
作者:Butera, J.A.; Antane, M.M.; Antane, S.A.; Argentieri, T.M.; Freeden, C.; Graceffa, R.F.; Hirth, B.H.; Jenkins, D.; Lennox, J.R.; Matelan, E.; Norton, N.W.; Quagliato, D.; Sheldon, J.H.; Spinelli, W.; Warga, D.; Wojdan, A.; Woods, M.
来源:J Med Chem 2000,43(6),1187-1202
合成路线图解说明:

A general synthetic route to a series of novel N-aryl and N-benzyl diaminocyclobutenedione derivatives and pertinent SAR data have been reported elsewhere. KCO-616 can be conveniently synthesized in two steps as shown in Scheme 26121401a. An ethanolic solution of 3,4-diethoxy-3-cyclobutene-1,2-dione (I) is allowed to react with tert-amylamine (II) at room temperature for a period of 24 h to give intermediate 3-(1,1-dimethylpropylamino)-4-ethoxy-3-cyclobutene-1,2-dione (III) in 90% isolated, purified yield. The condensation of this compound with 2,4-dichloro-6-methylbenzylamine (IV, recrystallized from boiling diethyl ether) in ethanol at room temperature for 24 h affords analytically pure 3-(2,4-dichloro-6-methylbenzylamino)-4-(1,1-dimethylpropylamino)-3-cyclobutene-1,2-dione (KCO-616) in 92% yield.

合成路线图解说明:

The condensation of 4-amino-3-ethylbenzonitrile (I) with 3,4-diethoxy-3-cyclobutene-1,2-dione (II) in refluxng acetonitrile gives 4-(2-ethoxy-3,4-dioxo-1-cyclobutenylamino)-3-ethylbenzonitrile (III), which is finally condensed with (R)-1,2,2-trimethylpropylamine (IV) in ethanol.

Drug Information Express,Drug R&D,Chemical Database,Patent Search.
Copyright © 2006-2026 Drug Future. All rights reserved.Contact Us