【药物名称】NNC-53-0002
化学结构式(Chemical Structure):
参考文献No.35567
标题:Novel N-alkoxyadenine derivs. acting as cytokine inhibitors
作者:Knutsen, L.; Olsen, U.B.; Roberts, S.M.; Varley, D.R.; Bowler, A.N. (Novo Nordisk A/S)
来源:WO 9801459
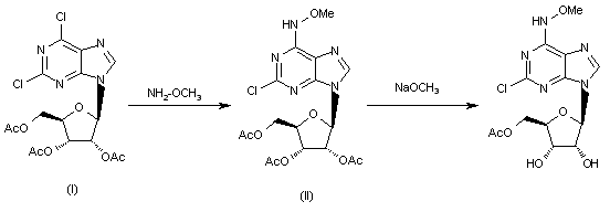
合成路线图解说明:

The reaction of 2,6-dichloro-9-(2',3',5'-tri-O-acetyl-beta-D-ribofuranosyl)-9H-purine (I) with O-methylhydroxylamine in hot dioxane gives 2',3',5'-tri-O-acetyl-2-chloro-N-methoxy-adenosine (II), which is then treated with sodium methoxide in methanol.

合成路线图解说明:

The cyclization of ribofuranoside (I) with trimethylsilyl acetylene (II) by means of NBS in DMF gives the trimethylsilylisoxazole (III), which is desilylated with NaOH in methanol yielding the isoxazole (IV). Elimination of the isopropylidene protecting group of (IV) by passing through a Dowex 50 H+ column affords the dihydroxy compound (V), which is benzoylated with benzoyl chloridde and DMAP in pyridine giving the dibenzoyl derivative (VI). The condensation of (VI) with 2,6-dichloro-9H-purine (VII) in refluxing hexamethyldisilazane (HMDA) provides the purine derivative (VIII), which is treated with 0-methylhydroxylamine and triethylamine in refluxing dioxane yielding the adenosine derivative (IX). Finally, this compound is debenzoylated with ammonia in methanol.

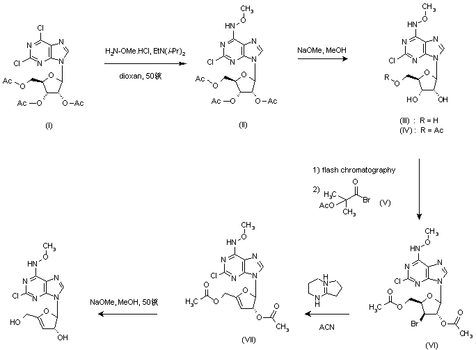
合成路线图解说明:

Reaction of dichloropurine (I) with O-methylhydroxylamine hydrochloride and N-ethyldiisopropylamine in dioxan at 50 C yielded the N-methoxy derivative (II). Subsequent treatment with a catalytic amount of NaOMe in methanol at room temperature provided a mixture of 2-chloro-N-methoxyadenosine (III) and monoacetate (IV), which were separated by flash chromatography. Treatment of monoacetate (IV) with alpha-acetoxyisobutyryl bromide (V) in acetonitrile at low temperature yielded bromide (VI), which on further treatment with 1,5-diazabicyclo[4.3.0]non-5-ene (DBN) gave the didehydrocompound (VII). Finally, reaction with NaOMe in methanol at 50 C provided the title compound.

Drug Information Express,Drug R&D,Chemical Database,Patent Search.
Copyright © 2006-2026 Drug Future. All rights reserved.Contact Us