【药物名称】Itriglumide, CR-2945
化学结构式(Chemical Structure):
参考文献No.32334
标题:Aromatic acid diamides with antigastrin activity, a method for their preparation and their pharmaceutical use
作者:Makovec, F.; Peris, W.; Rovati, L.C.; Rovati, L.A. (Rotta Research Laboratorium SpA)
来源:EP 0839137; JP 1999508892; WO 9702248
合成路线图解说明:

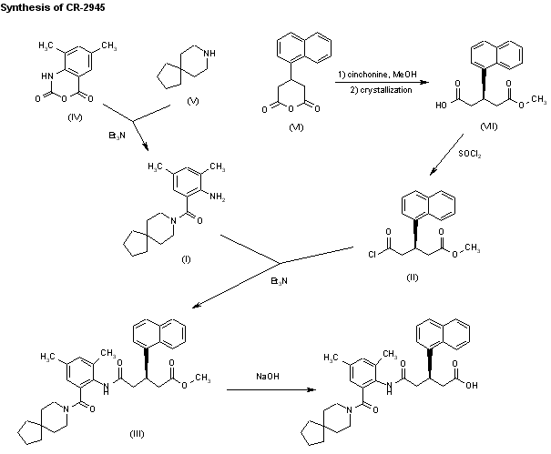
The condensation of the amine (I) with the chloride of 3(R)-(1-naphthyl)glutaric acid monomethyl ester (II) by means of triethylamine in hot toluene gives the glutaramic ester (III), which is finally hydrolyzed with NaOH in methanol/methylene chloride/water. The intermediates (I) and (II) have been obtained as follows: 1) Intermediate (I) is obtained by condensation of 3,5-dimethylisatoic acid anhydride (IV) with 8-azabicyclo[4.5]decane (V) by means of triethylamine in refluxing toluene. 2) Intermediate (II) is obtained by reaction of 3-(1-naphthyl)glutaric anhydride (VI) with methanol, yielding the racemic monomethyl ester, which without isolation is submitted to optical resolution with cinchonine, thus obtaining the 3(R)-monoester (VII). Finally, this compound is treated with SOCl2 in refluxing ethyl ether.

参考文献No.35520
标题:Anthranilic acid diamides derivs., their preparation and pharmaceutical use as antigastrin agents
作者:Makovec, F.; Peris, W.; Rovati, L.C.; Rovati, L.A. (Rotta Research Laboratorium SpA)
来源:EP 0918754; WO 9800404
合成路线图解说明:

The condensation of the amine (I) with the chloride of 3(R)-(1-naphthyl)glutaric acid monomethyl ester (II) by means of triethylamine in hot toluene gives the glutaramic ester (III), which is finally hydrolyzed with NaOH in methanol/methylene chloride/water. The intermediates (I) and (II) have been obtained as follows: 1) Intermediate (I) is obtained by condensation of 3,5-dimethylisatoic acid anhydride (IV) with 8-azabicyclo[4.5]decane (V) by means of triethylamine in refluxing toluene. 2) Intermediate (II) is obtained by reaction of 3-(1-naphthyl)glutaric anhydride (VI) with methanol, yielding the racemic monomethyl ester, which without isolation is submitted to optical resolution with cinchonine, thus obtaining the 3(R)-monoester (VII). Finally, this compound is treated with SOCl2 in refluxing ethyl ether.

参考文献No.482257
标题:CR-2945
作者:Makovec, F.; Casta馿r, J.; Revel, L.
来源:Drugs Fut 1999,24(5),483
合成路线图解说明:

The condensation of the amine (I) with the chloride of 3(R)-(1-naphthyl)glutaric acid monomethyl ester (II) by means of triethylamine in hot toluene gives the glutaramic ester (III), which is finally hydrolyzed with NaOH in methanol/methylene chloride/water. The intermediates (I) and (II) have been obtained as follows: 1) Intermediate (I) is obtained by condensation of 3,5-dimethylisatoic acid anhydride (IV) with 8-azabicyclo[4.5]decane (V) by means of triethylamine in refluxing toluene. 2) Intermediate (II) is obtained by reaction of 3-(1-naphthyl)glutaric anhydride (VI) with methanol, yielding the racemic monomethyl ester, which without isolation is submitted to optical resolution with cinchonine, thus obtaining the 3(R)-monoester (VII). Finally, this compound is treated with SOCl2 in refluxing ethyl ether.

Drug Information Express,Drug R&D,Chemical Database,Patent Search.
Copyright © 2006-2026 Drug Future. All rights reserved.Contact Us