【药物名称】
化学结构式(Chemical Structure):
参考文献No.477021
标题:2-Substituted-4-methoxybenzimidazole-based PDE4 inhibitors
作者:Regan, J.; Bruno, J.; McGarry, D.; Poli, G.; Hanney, B.; Bower, S.; Travis, J.; Sweeney, D.; Miller, B.; Souness, J.; Djuric, S.
来源:Bioorg Med Chem Lett 1998,8(19),2737
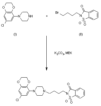
合成路线图解说明:

The title compound was prepared by alkylation of 1-(7-chloro-2,3-dihydro-1,4-benzodioxin-5-yl)piperazine (I) with N-(4-bromobutyl)saccharin (II) in the presence of K2CO3 in methylethylketone (MEK).

合成路线图解说明:

The condensation of methyl 3-amino-4-methylbenzoate (I) with methoxy-acetonitrile (II) in the presence of p-toluenesulfonic acid produced the amidine (III). Subsequent oxidative cyclization furnished the benzimidazole (IV). The ester group of (IV) was then saponified with aqueous NaOH to give acid (V). This was activated by treatment with O-benzotriazolyl-N,N,N',N'-tetramethyluronium tetrafluoro-borate (TBTU) in the presence of N-ethyl diisopropylamine, and subsequently coupled with 4-amino-3,5-dichloropyridine (VI) using sodium diethyldihydroaluminate as the catalyst to give the target amide.

Drug Information Express,Drug R&D,Chemical Database,Patent Search.
Copyright © 2006-2026 Drug Future. All rights reserved.Contact Us