【药物名称】
化学结构式(Chemical Structure):
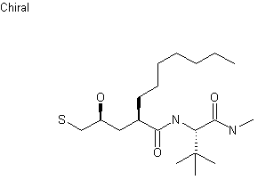
参考文献No.486005
标题:The asymmetric synthesis and in vitro characterization of succinyl mercaptoalcohol and mercaptoketone inhibitors of matrix metalloproteinases
作者:Levin, J.I.; DiJoseph, J.F.; Killar, L.M.; Sharr, M.A.; Skotnicki, J.S.; Patel, D.V.; Xiao, X.-Y.; Shi, L.; Navre, M.; Campbell, D.A.
来源:Bioorg Med Chem Lett 1998,8(10),1163
合成路线图解说明:

The alkylation of 4(S)-benzyl-3-nonanoyloxazolidin-2-one (I) with allyl bromide (II) by means of lithium diisopropylamide (LDA), followed by hydrolysis with LiOOH gives the chiral pentenoic acid (III), which is treated with dimethylamine and cyanophosphonic acid diethyl ester yielding the dimethylamide (IV). The iodination of (IV) with I2/dimethoxyethane (DME) with simultaneous cyclization yields 3(R)-heptyl-5(S)-(iodomethyl)tetrahydrofuran-2-one (V). The condensation of (V) with thioacetic acid by means of NaH, followed by a reductive cleavage and tritylation with triphenylmethanol and trifluoroacetic acid (TFA) affords 3(R)-heptyl-5(S)-(tritylsulfanylmethyl)tetrahydrofuran-2-one (VI). The ring opening of (VI) with NaOH, follwed by silylation with tert-butyldimethylsilyl chloride gives 4(S)-(tert-butyldimethyl-silyloxy)-2(R)-heptyl-5-(tritylsulfanyl)pentanoic acid (VII), which is condensed with 2(S)-amino-N,3,3-trimethylbutyramide (VIII) by means of cyanophosphonic acid diethyl ester and desilylated with tetrabutylammonium fluoride to yield 2(S)-[2(R)-heptyl-4-(S)-hydroxy-5-(tritylsulfanyl)pentanamido]-N,3,3-trimethylbutyramide (IX). Finally, this compound is detritylated with trifluoroacetic acid (TFA) to afford the target compound (X).

合成路线图解说明:

The alkylation of 4(S)-benzyl-3-(4-methylpentanoyl)oxazolidin-2-one (I) with allyl bromide (II) by means of lithium diisopro-pylamide (LDA), followed by hydrolysis with LiOOH gives the chiral pentenoic acid (III), which is iodinated with I2, KI, KHCO3 with simultaneous cyclization yielding (R,R)-5-(iodomethyl)-3-isobutyltetrahydrofuran-2-one (IV). The condensation of (IV) with thioacetic acid by means of NaH, followed by a reductive cleavage and tritylation with triphenylmethanol and trifluoroacetic acid gives (R,R)-3-isobutyl-5-(tritylsulfanylmethyl)tetrahydrofuran-2-one (V). The ring opening of (V) with NaOH, follwed by silylation with tert-butyldimethylsilyl chloride gives (R,R)-4-(tert-butyldimethylsilyloxy)-2-isobutyl-5-(tritylsulfanyl)pentanoic acid (VI), which is condensed with 2(S)-amino-N,3,3-trimethylbutyramide (VII) by means of cyanophosphonic acid diethyl ester and desilylated with tetrabutylammonium fluoride to yield 2(S)-[2(R)-isobutyl-4-(R)-hydroxy-5-(triphenylmethylsulfanyl)pen-tanamido]-N,3,3-trimethylbutyramide (VIII). Finally, this compound is detritylated with trifluoroacetic acid (TFA) to afford the target compound.

合成路线图解说明:

The alkylation of 4(S)-benzyl-3-(4-methylpentanoyl)oxazolidin-2-one (I) with allyl bromide (II) by means of lithium diisopro-pylamide (LDA), followed by hydrolysis with LiOOH gives the chiral pentenoic acid (III), which is treated with dimethylamine and cyanophosphonic acid diethyl ester yielding the dimethylamide (IV). The iodination of (IV) with I2/dimethoxyethane (DME) with simultaneous cyclization yields 5(S)-(iodomethyl)-3(R)-isobutyltetrahydrofuran-2-one (V). The condensation of (V) with thioacetic acid by means of NaH, followed by a reductive cleavage and tritylation with triphenylmethanol and TFA affords 3(R)-isobutyl-5(S)-(triphenylmethylsulfanylmethyl)tetrahydrofuran-2-one (VI). The ring opening of (VI) with NaOH, follwed by silylation with tert-butyldimethylsilyl chloride gives 4(S)-(tert-butyldimethylsilyloxy)-2(R)-isobutyl-5-(tritylsulfanyl)pentanoic acid (VII), which is condensed with 2(S)-amino-N,3,3-trimethylbutyramide (VIII) by means of cyanophosphonic acid diethyl ester and desilylated with tetrabutylammonium fluoride to yield 2(S)-[2(R)-isobutyl-4-(S)-hydroxy-5-(tritylsulfanyl)pentanamido]-N,3,3-trimethylbutyramide (IX). Finally, this compound is detritylated with trifluoroacetic acid (TFA) to afford the target campound (X).

合成路线图解说明:

The alkylation of 4(S)-benzyl-3-nonanoyloxazolidin-2-one (I) with allyl bromide (II) by means of lithium diisopropylamide (LDA), followed by hydrolysis with LiOOH gives the chiral pentenoic acid (III), which is iodinated with I2, KI, KHCO3 with simultaneous cyclization yielding (R,R)-3-heptyl-5-(iodomethyl)tetrahydrofuran-2-one (IV). The condensation of (IV) with thioacetic acid by means of NaH, followed by a reductive cleavage and tritylation with triphenylmethanol and trifluoroacetic acid (TFA) affords (R,R)-3-heptyl-5-(triphenylmethyl-sulfanylmethyl)tetrahydrofuran-2-one (V). The ring opening of (V) with NaOH, follwed by silylation with tert-butyldimethylsilyl chloride gives (R,R)-4-(tert-butyldimethylsilyloxy)-2-heptyl-5-(tritylsulfanyl)pentanoic acid (VI), which is condensed with 2(S)-amino-N,3,3-trimethylbutyramide (VII) by means of cyanophosphonic acid diethyl ester and desilylated with tetrabutylammonium fluoride to yield 2(S)-[2(R)-heptyl-4(R)-hydroxy-5-(tritylsulfanyl)pentanamido]-N,3,3-trimethylbutyramide (VIII). Finally, compound (VIII) is oxidized with TFA, pyridine, DMSO and EDC, and detritylated with TFA to give the target compound.

合成路线图解说明:

The alkylation of 4(S)-benzyl-3-(4-methylpentanoyl)oxazolidin-2-one (I) with allyl bromide (II) by means of lithium diisopro-pylamide (LDA), followed by hydrolysis with LiOOH gives the chiral pentenoic acid (III), which is iodinated with I2, KI, KHCO3 with simultaneous cyclization yielding (R,R)-5-(iodomethyl)-3-isobutyltetrahydrofuran-2-one (IV). The condensation of (IV) with thioacetic acid by means of NaH, followed by a reductive cleavage and tritylation with triphenylmethanol and trifluoroacetic acid gives (R,R)-3-isobutyl-5-(tritylsulfanylmethyl)tetrahydrofuran-2-one (V). The ring opening of (V) with NaOH, follwed by silylation with tert-butyldimethylsilyl chloride gives (R,R)-4-(tert-butyldimethylsilyloxy)-2-isobutyl-5-(tritylsulfanyl)pentanoic acid (VI), which is condensed with 2(S)-amino-N,3,3-trimethylbutyramide (VII) by means of cyanophosphonic acid diethyl ester and desilylated with tetrabutylammonium fluoride to yield 2(S)-[2(R)-isobutyl-4-(R)-hydroxy-5-(triphenylmethylsulfanyl)pen-tanamido]-N,3,3-trimethylbutyramide (VIII). Finally, compound (VIII) is oxidized with TFA, pyridine, DMSO and EDC, and detritylated with TFA to give the target compound.

Drug Information Express,Drug R&D,Chemical Database,Patent Search.
Copyright © 2006-2025 Drug Future. All rights reserved.Contact Us