【药物名称】Bortezomib, MLN-341, DPBA, LDP-341, NSC-681239, PS-341, Velcade
化学结构式(Chemical Structure):
参考文献No.35888
标题:Boronic ester and acid cpds., synthesis and uses
作者:Adams, J.; Ma, Y.-T.; Stein, R.; Baevsky, M.; Grenier, L.; Plamondon, L. (ProScript, Inc.)
来源:JP 1998510245; US 5780454; US 6083903; WO 9613266
合成路线图解说明:

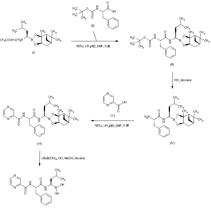
Pinanediol leucine boronate (I) was coupled with N-Boc-L-phenylalanine (II) in the presence of TBTU to afford the dipeptide boronate (III). Acid cleavage of the Boc protecting group of (III), followed by acylation of the resultant amine (IV) with 2-pyrazinecarboxylic acid (V), furnished amide (VI). Finally, deprotection of the boronic acid (VI) was accomplished by two-phase transesterification with isobutylboronic acid.

参考文献No.449988
标题:Potent and selective inhibitors of the proteasome: Dipeptidyl boronic acids
作者:Adams, J.; Behnke, M.; Chen, S.; Cruickshank, A.A.; Dick, L.R.; Grenier, L.; Klunder, J.M.; Ma, Y.T.; Plamondon, L.; Stein, R.L.
来源:Bioorg Med Chem Lett 1998,8(4),333
合成路线图解说明:

Pinanediol leucine boronate (I) was coupled with N-Boc-L-phenylalanine (II) in the presence of TBTU to afford the dipeptide boronate (III). Acid cleavage of the Boc protecting group of (III), followed by acylation of the resultant amine (IV) with 2-pyrazinecarboxylic acid (V), furnished amide (VI). Finally, deprotection of the boronic acid (VI) was accomplished by two-phase transesterification with isobutylboronic acid.

Drug Information Express,Drug R&D,Chemical Database,Patent Search.
Copyright © 2006-2026 Drug Future. All rights reserved.Contact Us