【药物名称】S-3304
化学结构式(Chemical Structure):
参考文献No.33891
标题:Sulfonated amino acid derivs. and metalloproteinase inhibitors containing the same
作者:Watanabe, F.; Tsuzuki, H.; Ohtani, M. (Shionogi & Co. Ltd.)
来源:EP 0950656; JP 2001316254; US 6207698; US 6235768; US 6441021; WO 9727174
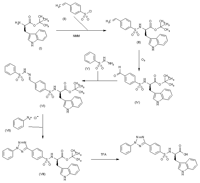
合成路线图解说明:

The sulfonation of D-tryptophan tert-butyl ester (I) with 4-vinylphenylsulfonyl chloride (II) and NMM in dichloromethane gives N2-(4-vinylphenylsulfonyl)-D-tryptophan tert-butyl ester (III), which is treated with ozone in dichloromethane to yield the benzaldehyde (IV). The condensation of (IV) with phenylsulfonyl hydrazide (V) in ethanol/THF affords the phenylsulfonyl hydrazone (VI), which is cyclized with phenyldiazonium chloride (VII) (aniline, NaNO2 and aq. HCl) in pyridine to provide the tetrazole derivative (VIII). Finally, the tert-butyl ester group of (VIII) is hydrolyzed with THF in dichloromethane to furnish the target D-tryptophan derivative.

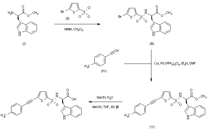
合成路线图解说明:

Acylation of D-tryptophan methyl ester (I) with 5-bromo-2-thiophenesulfonyl chloride (II) yields sulfonamide (III). Subsequent Heck coupling of aryl bromide (III) with 4-methylphenylacetylene (IV) in the presence of copper and palladium catalysts gives rise to the diaryl acetylene (V). Finally, hydrolysis of the methyl ester group of (V) under alkaline conditions furnishes the target carboxylic acid

Drug Information Express,Drug R&D,Chemical Database,Patent Search.
Copyright © 2006-2026 Drug Future. All rights reserved.Contact Us