【药物名称】S-8921
化学结构式(Chemical Structure):
参考文献No.20851
标题:Lignan analog, production thereof, and hypolipidemic drug
作者:Mori, S.; Takechi, S.; Kida, S.; Mizui, T.; Ichihashi, T. (Shionogi & Co. Ltd.)
来源:EP 0597107; EP 0701991; JP 1993310634; US 5731455; WO 9308155
合成路线图解说明:

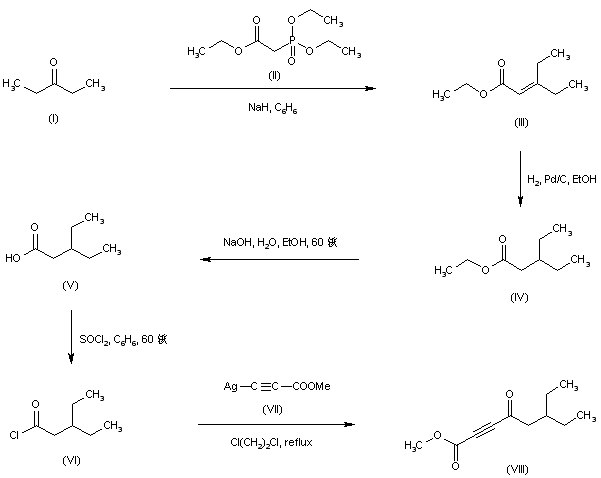
The Wadsworth-Emmons condensation of 3-pentanone (I) with phosphonate (II) affords the conjugated ester adduct (III). Subsequent double bond hydrogenation in (III), in the presence of Pd/C, leads to the saturated ester (IV). After basic hydrolysis of the ethyl ester group of (IV), the resultant carboxylic acid (V) is activated as the corresponding acid chloride (VI) upon treatment with SOCl2. Then, acylation of the silver acetylide of methyl propiolate (VII) with acid chloride (VI) gives rise to the oxo ester intermediate (VIII).

合成路线图解说明:

Protection of 3,4,5-trimethoxybenzaldehyde (IX) with ethylene glycol (X) affords acetal (XI). After lithiation of (XI) by means of butyllithium, addition to veratraldehyde (XII) furnishes carbinol (XIII). Finally, cyclization of hydroxy acetal (XIII) with alkyne (VIII) under acidic conditions provides the title naphthol derivative.

合成路线图解说明:

In an alternative procedure, the known hydroxynaphthalene dicarboxylate (I) is protected as the methoxymethyl ether (III) using chloromethyl methyl ether (II) and diisopropyl ethylamine. Subsequent partial hydrolysis of diester (III) with KOH leads to acid (IV). Removal of the methoxymethyl protecting group of (IV) to produce naphthol (V) is accomplished by treatment with in situ generated iodotrimethylsilane. Hydroxy acid (V) is then converted to the dioxinone derivative (VI) employing diiodomethane and CsF in hot DMF. Finally, addition of the Grignard reagent (VII) to the lactone function of (VI) yields the desired 2-ethylbutyl ketone.

参考文献No.35609
标题:Process for producing lignan cpd.
作者:Mori, S.; Takechi, S.; Kida, S. (Shionogi & Co. Ltd.)
来源:EP 0646570; WO 9424087
合成路线图解说明:

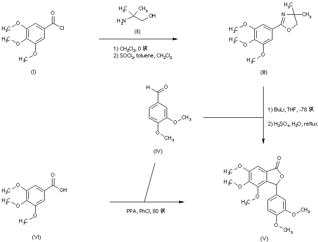
A different synthetic strategy requires the precursor phthalide derivative (V), which is prepared by two related ways. 3,4,5-Trimethoxybenzoyl chloride (I) is condensed with 2-amino-2-methyl-1-propanol (II), and the resultant hydroxy amide is further cyclized with SOCl2 to the oxazoline (III). Lithiation of (III), followed by addition to veratraldehyde (IV) and acidic oxazoline hydrolysis, leads to the target lactone (V). Alternatively, isobenzofuranone (V) is obtained by direct condensation between trimethoxybenzoic acid (VI) and veratraldehyde (IV) in the presence of polyphosphoric acid.

合成路线图解说明:

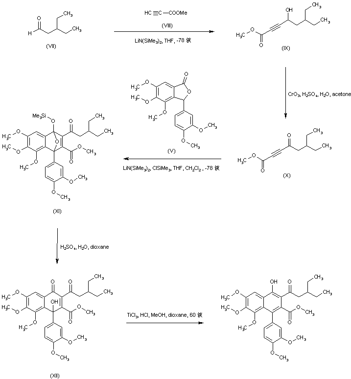
Addition of the lithium acetylide prepared from methyl propiolate (VIII) to 3-ethylpentanal (VII) gives methyl 6-ethyl-4-hydroxy-2-octynoate (IX), which is further oxidized to the corresponding keto ester (X) employing the Jones reagent in acetone. Cycloaddition between alkyne (X) and the lithium derivative of the isobenzofuranone (V) gives rise to the 1,4-epoxy dihydronaphthalene adduct (XI). Subsequent acidic hydrolysis of (XI) furnishes the hydroxy naphthalenone (XII). Finally, reductive aromatization of (XII) using TiCl3 produces the title naphthol compound.

参考文献No.524264
标题:Convergent synthesis of S-8921, a new potent hypocholesterolemic arylnapththalene lignan analog
作者:Mori, S.; et al.
来源:Tetrahedron Lett 1999,40(6),1165
合成路线图解说明:

A different synthetic strategy requires the precursor phthalide derivative (V), which is prepared by two related ways. 3,4,5-Trimethoxybenzoyl chloride (I) is condensed with 2-amino-2-methyl-1-propanol (II), and the resultant hydroxy amide is further cyclized with SOCl2 to the oxazoline (III). Lithiation of (III), followed by addition to veratraldehyde (IV) and acidic oxazoline hydrolysis, leads to the target lactone (V). Alternatively, isobenzofuranone (V) is obtained by direct condensation between trimethoxybenzoic acid (VI) and veratraldehyde (IV) in the presence of polyphosphoric acid.

合成路线图解说明:

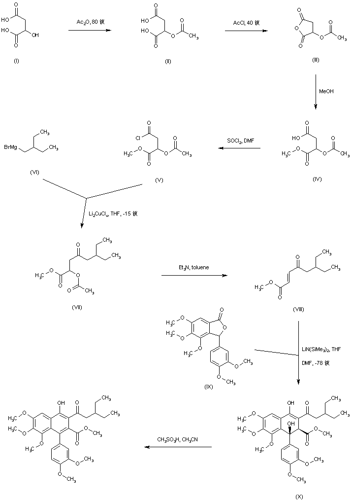
In a related procedure, malic acid (I) is converted into the O-acetylated monomethyl ester (IV) by a sequence involving O-acetylation with acetic anhydride, followed by dehydration of the resultant O-acetyl malic acid (II) to the cyclic anhydride (III), which undergoes further methanolysis to mono ester (IV). Mono-acid (IV) is then chlorinated with SOCl2, yielding acid chloride (V). Subsequent Li2CuCl4-catalyzed cross-coupling of acid chloride (V) with 2-ethylbutylmagnesium bromide (VI) affords ketone (VII). Elimination of the acetate group of (VII) with triethylamine in toluene leads to the acyl propenoate (VIII). This is subjected to cycloaddition reaction with the lithium derivative of phthalide (IX) producing the dihydroxydihydronaphthalene adduct (X). Finally, dehydration of (X) under acidic conditions furnishes the title compound.

Drug Information Express,Drug R&D,Chemical Database,Patent Search.
Copyright © 2006-2026 Drug Future. All rights reserved.Contact Us