【药物名称】RVT, DPC-817, beta-D-D4FC, D-D4FC, Reverset
化学结构式(Chemical Structure):
参考文献No.59821
标题:Method for the synthesis of 2',3'-dideoxy-2',3'-didehydronucleosides
作者:Confalone, P.N.; Jin, F. (Pharmasset, Inc.)
来源:WO 0270533
合成路线图解说明:

The bromoacetylation of 5-fluorocytidine (I) with 2-acetoxyisobutyryl bromide (II) in acetonitrile, ethyl acetate or dichloromethane gives a mixture of two bromoacylated compounds (III) and (IV), with minor amounts of two other compounds (V) and (VI) that are separated by chromatography. The mixture of (III) and (IV), without separation, is treated with Zn/Cu in DMF or methanol/ethyl acetate to yield the unsaturated cytidine derivative (VII), which is finally deacylated by means of Na-OMe in methanol to afford the target fluorocytidine derivative.

合成路线图解说明:

The bromoacetylation of 5-fluorouridine (I) with 2-acetoxyisobutyryl bromide (II) in acetonitrile, ethyl acetate or dichloromethane gives a mixture of four bromoacylated compounds (III), (IV), (V) and (VI). This mixture, without separation, is treated with Zn/Ac-OH in DMF or methanol/ethyl acetate to yield two unsaturated uridine derivatives (VII) and (VIII), which are easily separated. The major isomer (VIII) is condensed with 1,2,4-triazole (IX) by means of POCl3 and TEA in acetonitrile to afford the triazolyl derivative (X), which is treated with ammonia in methanol to provide the cytidine derivative (XI). Finally, this compound is deacylated by means of NaOMe in methanol to afford the target fluorocytidine derivative.

参考文献No.480181
标题:Synthesis and comparative evaluation of two antiviral agents: beta-L-Fd4C and beta-D-Fd4C
作者:Chen, S.-H.; Lin, S.; King, I.; Spinka, T.; Dutschman, G.E.; Gullen, E.A.; Cheng, Y.-C.; Doyle, T.W.
来源:Bioorg Med Chem Lett 1998,8(22),3245
合成路线图解说明:

The acylation of 2,3-O-isopropylidene-alpha-D-xylofuranose (I) with benzoyl chloride and pyridine gives the dibenzoyl ester (II), which is deprotected by means of H2SO4/HOAc in hot THF to yield 3,5-di-O-benzoyl-alpha-D-xylofuranose (III). The reaction of (III) with PPh3, I2 and imidazole in dichloromethane affords the glycal (IV), which is used in the glycosylation of the N,O-disilylated 5-fluorocytosine (V) by means of NIS in dichloromethane to provide the 2'-alpha-iodonucleoside (VI). The treatment of (VI) with Zn in EtOH/ethyl acetate (HOAc is used as catalyst) gives the unsaturated nucleoside (VII), which is finally debenzoylated by means of butylamine in THF.

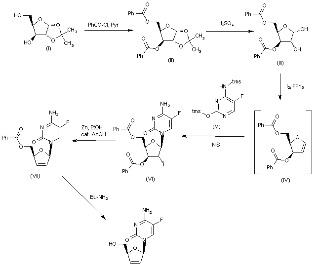
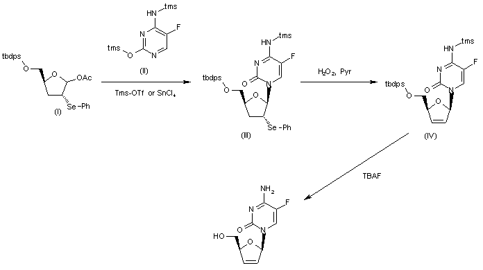
参考文献No.530491
标题:Synthesis and biological evaluation of 2',3'-didehydro-2',3'-dideoxy-5-fluorocytidine (D4FC) analogues: Discovery of carbocyclic nucleoside triphosphates with potent inhibitory activity against HIV-1 reverse transcriptase
作者:Shi, J.; McAtee, J.J.; Schlueter Wirtz, S.; Tharnish, P.; Juodawlkis, A.; Liotta, D.C.; Schinazi, R.F.
来源:J Med Chem 1999,42(5),859
合成路线图解说明:

The condensation of the known acetate (I) with N,O-disylilated cytosine (II) by means of Tms-OTf or SnCl4 gives the selenium containing nucleoside (III), which is submitted to an oxidative elimination reaction by means of H2O2 and pyridine in dichloromethane to yield the unsaturated nucleoside (IV). Finally, this compound is desilylated by means of TBAF in THF.

Drug Information Express,Drug R&D,Chemical Database,Patent Search.
Copyright © 2006-2026 Drug Future. All rights reserved.Contact Us