【药物名称】SPD-754, (-)-BCH-10652, (-)-dOTC, BCH-10618
化学结构式(Chemical Structure):
参考文献No.28160
标题:Substd. 1,3-oxathiolanes with antiviral properties
作者:Mansour, T.S.; Jin, H. (Shire BioChem Inc.)
来源:EP 0756595; EP 1153924; JP 1997512526; WO 9529176
合成路线图解说明:

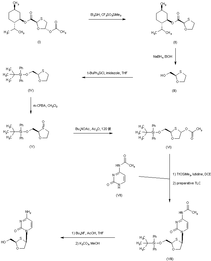
The title compound was prepared starting from the known menthyl 5(S)-acetoxy-1,3-oxathiolan-2(R)-carboxylate (I). Transposition of the 5-acetoxy group of (I) to the target 4-acetoxy derivative (VI) was achieved by the following sequence. The acetoxy group of (I) was first removed by reduction with triethylsilaneto give (II), followed by ester reduction with NaBH4, to give the hydroxymethyl oxathiolane (III). The primary alcohol of (III) was then protected by silylation with tert-butyldiphenylsilyl chloride. The resultant silylated oxathiolane (IV) was oxidized to a diastereomeric mixture of sulfoxides (V) using m-CPBA. Pummerer rearrangement of sulfoxides (V) in the presence of Ac2O and Bu4NOAc furnished the desired 4-acetoxy thiolane (VI). Glycosylation of (VI) with N-acetylcytosine (VII) in the presence of trimethylsilyl triflate provided a mixture of cis- and trans-coupled products, which were separated by preparative TLC. The required cis-isomer (VIII) was desilylated with tetrabutylammonium fluoride, followed by acetamide hydrolysis with K2CO3 in MeOH, to provide the title compound.

参考文献No.593610
标题:Anti-human immunodeficiency virus and anti-hepatitis-B virus activities and toxicities of the enantiomers of 2'-deoxy-3'-oxa-4'-thiocytidine and their 5-fluoro analogues in vitro
作者:Mansour, T.S.; Jin, H.; Wang, W.; Hooker, E.U.; Ashman, C.; Cammack, N.; Salomon, H.; Belmonte, A.R.; Wainberg, M.A.
来源:J Med Chem 1995,38(1),1
合成路线图解说明:

The title compound was prepared starting from the known menthyl 5(S)-acetoxy-1,3-oxathiolan-2(R)-carboxylate (I). Transposition of the 5-acetoxy group of (I) to the target 4-acetoxy derivative (VI) was achieved by the following sequence. The acetoxy group of (I) was first removed by reduction with triethylsilaneto give (II), followed by ester reduction with NaBH4, to give the hydroxymethyl oxathiolane (III). The primary alcohol of (III) was then protected by silylation with tert-butyldiphenylsilyl chloride. The resultant silylated oxathiolane (IV) was oxidized to a diastereomeric mixture of sulfoxides (V) using m-CPBA. Pummerer rearrangement of sulfoxides (V) in the presence of Ac2O and Bu4NOAc furnished the desired 4-acetoxy thiolane (VI). Glycosylation of (VI) with N-acetylcytosine (VII) in the presence of trimethylsilyl triflate provided a mixture of cis- and trans-coupled products, which were separated by preparative TLC. The required cis-isomer (VIII) was desilylated with tetrabutylammonium fluoride, followed by acetamide hydrolysis with K2CO3 in MeOH, to provide the title compound.

参考文献No.593616
标题:Structure-activity relationships among a new class of antiviral heterosubstituted 2',3'-dideoxynucleoside analogs
作者:Mansour, T.S.; et al.
来源:Nucleosides Nucleotides 1995,14(3-5),627
合成路线图解说明:

The title compound was prepared starting from the known menthyl 5(S)-acetoxy-1,3-oxathiolan-2(R)-carboxylate (I). Transposition of the 5-acetoxy group of (I) to the target 4-acetoxy derivative (VI) was achieved by the following sequence. The acetoxy group of (I) was first removed by reduction with triethylsilaneto give (II), followed by ester reduction with NaBH4, to give the hydroxymethyl oxathiolane (III). The primary alcohol of (III) was then protected by silylation with tert-butyldiphenylsilyl chloride. The resultant silylated oxathiolane (IV) was oxidized to a diastereomeric mixture of sulfoxides (V) using m-CPBA. Pummerer rearrangement of sulfoxides (V) in the presence of Ac2O and Bu4NOAc furnished the desired 4-acetoxy thiolane (VI). Glycosylation of (VI) with N-acetylcytosine (VII) in the presence of trimethylsilyl triflate provided a mixture of cis- and trans-coupled products, which were separated by preparative TLC. The required cis-isomer (VIII) was desilylated with tetrabutylammonium fluoride, followed by acetamide hydrolysis with K2CO3 in MeOH, to provide the title compound.

参考文献No.593617
标题:Synthesis of optically active 2',3'-dideoxy-3'-oxa-4'-thio-ribonucleoside analogs by transposition of a leaving group on chiral oxathiolanes via a reductive-oxidative process
作者:Wang, W.; et al.
来源:Tetrahedron Lett 1994,35(27),4739
合成路线图解说明:

The title compound was prepared starting from the known menthyl 5(S)-acetoxy-1,3-oxathiolan-2(R)-carboxylate (I). Transposition of the 5-acetoxy group of (I) to the target 4-acetoxy derivative (VI) was achieved by the following sequence. The acetoxy group of (I) was first removed by reduction with triethylsilaneto give (II), followed by ester reduction with NaBH4, to give the hydroxymethyl oxathiolane (III). The primary alcohol of (III) was then protected by silylation with tert-butyldiphenylsilyl chloride. The resultant silylated oxathiolane (IV) was oxidized to a diastereomeric mixture of sulfoxides (V) using m-CPBA. Pummerer rearrangement of sulfoxides (V) in the presence of Ac2O and Bu4NOAc furnished the desired 4-acetoxy thiolane (VI). Glycosylation of (VI) with N-acetylcytosine (VII) in the presence of trimethylsilyl triflate provided a mixture of cis- and trans-coupled products, which were separated by preparative TLC. The required cis-isomer (VIII) was desilylated with tetrabutylammonium fluoride, followed by acetamide hydrolysis with K2CO3 in MeOH, to provide the title compound.

参考文献No.635637
标题:A new strategy for the asymmetric synthesis of 1,3-oxathiolane-based nucleoside analogues
作者:Caputo, R.; et al.
来源:Eur J Org Chem 1999,(6),1455
合成路线图解说明:

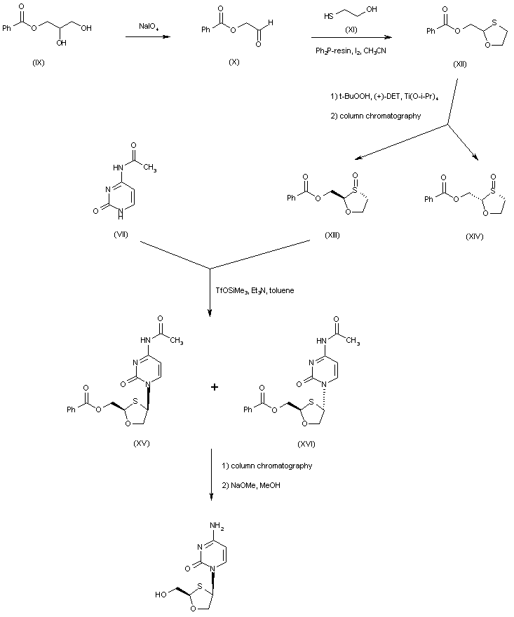
A new asymmetric synthesis has been reported. Oxidative cleavage of mono-benzoyl glycerol (IX) by means of NaIO4 provided aldehyde (X). Condensation of (X) with mercaptoethanol (XI) in the presence of ploystyryl diphenylphosphane-iodine complex gave rise to the oxathiolane (XII). Sharpless asymmetric oxidation of (XII) using tert-butyl hydroperoxide and L-diethyl tartrate led to an 82:18 mixture of (E)- and (Z)-sulfoxides (XIII) and (XIV). The desired (E)-isomer (XIII) was then isolated by column chromatography, displaying an enantiomeric excess of 60%. Coupling of (XIII) with N-acetylcytosine (VII) under Pummerer rearrangement conditions led to an equimolecular mixture of (Z)- and (E)-adducts (XV) and (XVI). After chromatographic separation of the desired (Z)-isomer (XV), the acetyl and benzoyl protecting groups were removed by treatment with sodium methoxide.

Drug Information Express,Drug R&D,Chemical Database,Patent Search.
Copyright © 2006-2026 Drug Future. All rights reserved.Contact Us