【药物名称】CGP-54061
化学结构式(Chemical Structure):
参考文献No.479512
标题:Novel 2,7-dialkyl substituted 5(S)-amino-4(S)-hydr
作者:Rasetti, V.; Wood, J.; Gr黷ter, M.; Maibaum, J.; Goeschke, R.; Cohen, N.C.; Fuhrer, W.; Rahuel, J.; Stutz, S.
来源:15th European Federation for Medicinal Chemistry International Symposium on Medicinal Chemistry (Sept 6 1998, Edinburgh) 1998,Abst P.229
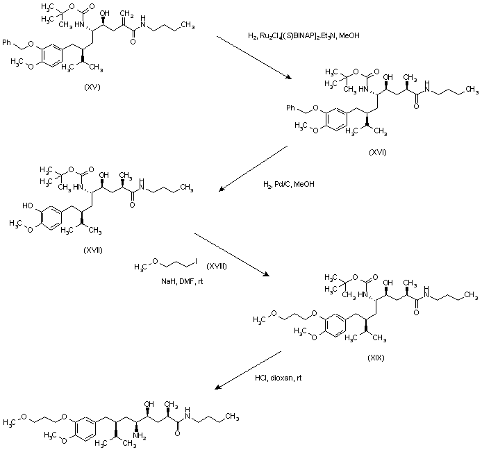
合成路线图解说明:

3-Benzyloxy-4-methoxybenzaldehyde (I) was reduced to benzyl alcohol (II) with NaBH4, and then converted into bromide (III) using Me3SiBr. Alkylation of 4-(R)-benzyl-3-isovaleroyl-oxazolidinone (IV) with bromide (III) in the presence of lithium hexamethyldisilazide in THF at -70 C produced the (R,R) diastereoisomer (V). Then, hydrolysis of (V) with lithium hydroperoxide gave the (R)-acid (VI), which was reduced to alcohol (VII) by means of NaBH4 and I2. The reation of (VII) with NBS and PPh3 yielded bromide (VIII), which was condensed with dihydropyrazine (IX) in the presence of BuLi to give compound (X) as the major diastereoisomer. Subsequent acid hydrolysis of the dihydropyrazine (X) provided aminoester (XI), which was protected as the tert-butyl carbamate (XII) with Boc2O and DIEA. The carboxylate group of (XII) was reduced to aldehyde (XIII) with DIBAL-H in cold toluene. This aldehyde (XIII) was condensed with N-butyl methacrylamide (XIV) in the presence of butyllithium and chlorotitanium triisopropoxide at -75 C to give a mixture of diastereoisomeric aminoalcohols, from which the major threo compound (XV) was isolated by column chromatography.

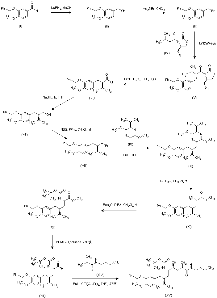
合成路线图解说明:

Stereoselective hydrogenation of the methylene double bond of (XV) in the presence of a ruthenium chiral catalyst produced the (2R)-methyl compound (XVI). Further hydrogenolysis of the benzyl ether of (XVI) over Pd/C gave phenol (XVII), which was alkylated with 3-methoxypropyl iodide (XVIII) and NaH in DMF to yield ether (XIX). Finally, acid hydrolysis of the N-Boc protecting group of (XIX) furnished the title compound.

Drug Information Express,Drug R&D,Chemical Database,Patent Search.
Copyright © 2006-2026 Drug Future. All rights reserved.Contact Us