【药物名称】GYKI-39484, RGH-1876
化学结构式(Chemical Structure):
参考文献No.35390
标题:Novel anticoagulant glycosides and pharmaceutical compsns. thereof
作者:Kov醕sn?Boz? E.; Kuszmann, J.; Szab? G.; Boros, S.; Moravcsik, I. (Gedeon Richter Ltd.)
来源:EP 0907656; WO 9749716
合成路线图解说明:

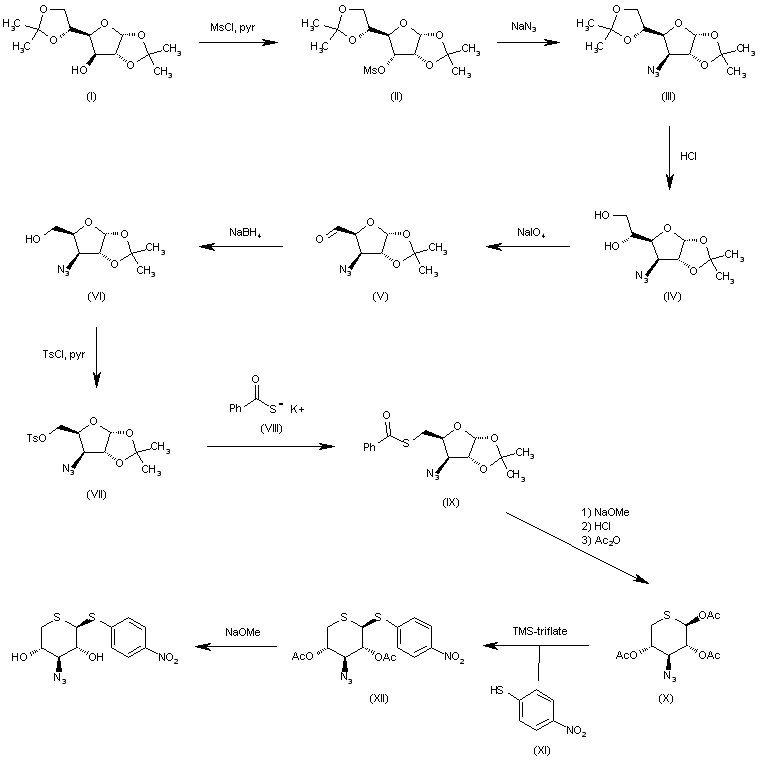
The reaction of 1,2:5,6-di-O-isopropylidene-alpha-D-glucofuranose (I) with methanesulfonyl chloride and pyridine gives the mesylate (II), which by treatment with sodium azide in DMF is converted into 3-azido-3-deoxy-1,2:5,6-di-O-isopropylidene-alpha-D-glucofuranose (III). Selective hydrolysis of (III) with 1N HCl in ethanol affords 3-azido-3-deoxy-1,2-O-isopropylidene-alpha-D-glucofuranose (IV) (1), which is oxidized with sodium metaperiodate to the aldehyde (V). The reduction of (V) with NaBH4 in EtOH gives 3-azido-3-deoxy-1,2-O-isopropylidene-alpha-D-xylofuranose (VI), which is treated with tosyl chloride and pyridine to yield the corresponding 5-O-tosylate (VII) (2). The reaction of (VII) with potassium thiobenzoate (VIII) in hot DMF gives 3-azido-5-S-benzoyl-3-deoxy-1,2-O-isopropylidene-5-thio-alpha-D-xylofuranose (IX), which is treated successively with NaOMe in methanol, to induce cyclization, with refluxing HCl in methanol, to eliminate the isopropylidene group, and finally with acetic anhydride to furnish 1,2,4-tri-O-acetyl-3-azido-3-deoxy-5-thio-D-xylopyranose (X). The condensation of (X) with 4-nitrothiophenol (XI) by means of trimethylsilyl triflate in dichloromethane yields the corresponding acylated dithiopyranoside, which is finally deacetylated with sodium methoxide in methanol.

参考文献No.590378
标题:Conversion of D-Glucose into d-Oxybiotin. Part I. Synthesis of 2,5-anhydro-3-azido-3-deoxy-D-xylose dimethyl acetal
作者:Kuzuhara, H.; Ohrui, H.; Emoto, S.
来源:Agr Biol Chem 1970,34(3),375-380
合成路线图解说明:

The reaction of 1,2:5,6-di-O-isopropylidene-alpha-D-glucofuranose (I) with methanesulfonyl chloride and pyridine gives the mesylate (II), which by treatment with sodium azide in DMF is converted into 3-azido-3-deoxy-1,2:5,6-di-O-isopropylidene-alpha-D-glucofuranose (III). Selective hydrolysis of (III) with 1N HCl in ethanol affords 3-azido-3-deoxy-1,2-O-isopropylidene-alpha-D-glucofuranose (IV) (1), which is oxidized with sodium metaperiodate to the aldehyde (V). The reduction of (V) with NaBH4 in EtOH gives 3-azido-3-deoxy-1,2-O-isopropylidene-alpha-D-xylofuranose (VI), which is treated with tosyl chloride and pyridine to yield the corresponding 5-O-tosylate (VII) (2). The reaction of (VII) with potassium thiobenzoate (VIII) in hot DMF gives 3-azido-5-S-benzoyl-3-deoxy-1,2-O-isopropylidene-5-thio-alpha-D-xylofuranose (IX), which is treated successively with NaOMe in methanol, to induce cyclization, with refluxing HCl in methanol, to eliminate the isopropylidene group, and finally with acetic anhydride to furnish 1,2,4-tri-O-acetyl-3-azido-3-deoxy-5-thio-D-xylopyranose (X). The condensation of (X) with 4-nitrothiophenol (XI) by means of trimethylsilyl triflate in dichloromethane yields the corresponding acylated dithiopyranoside, which is finally deacetylated with sodium methoxide in methanol.

参考文献No.594860
标题:Synthese der 3-Amino-3-desoxy- und 3,6-Diamino-3,6-didesoxy-D-glucose
作者:Meyer, W.
来源:Chem Ber 1968,101(11),3802-07
合成路线图解说明:

The reaction of 1,2:5,6-di-O-isopropylidene-alpha-D-glucofuranose (I) with methanesulfonyl chloride and pyridine gives the mesylate (II), which by treatment with sodium azide in DMF is converted into 3-azido-3-deoxy-1,2:5,6-di-O-isopropylidene-alpha-D-glucofuranose (III). Selective hydrolysis of (III) with 1N HCl in ethanol affords 3-azido-3-deoxy-1,2-O-isopropylidene-alpha-D-glucofuranose (IV) (1), which is oxidized with sodium metaperiodate to the aldehyde (V). The reduction of (V) with NaBH4 in EtOH gives 3-azido-3-deoxy-1,2-O-isopropylidene-alpha-D-xylofuranose (VI), which is treated with tosyl chloride and pyridine to yield the corresponding 5-O-tosylate (VII) (2). The reaction of (VII) with potassium thiobenzoate (VIII) in hot DMF gives 3-azido-5-S-benzoyl-3-deoxy-1,2-O-isopropylidene-5-thio-alpha-D-xylofuranose (IX), which is treated successively with NaOMe in methanol, to induce cyclization, with refluxing HCl in methanol, to eliminate the isopropylidene group, and finally with acetic anhydride to furnish 1,2,4-tri-O-acetyl-3-azido-3-deoxy-5-thio-D-xylopyranose (X). The condensation of (X) with 4-nitrothiophenol (XI) by means of trimethylsilyl triflate in dichloromethane yields the corresponding acylated dithiopyranoside, which is finally deacetylated with sodium methoxide in methanol.

Drug Information Express,Drug R&D,Chemical Database,Patent Search.
Copyright © 2006-2026 Drug Future. All rights reserved.Contact Us