【药物名称】RPR-132703
化学结构式(Chemical Structure):
参考文献No.35319
标题:Substd. azabicyclic cpds. and their use as inhibitors of the production of TNF and cyclic AMP phosphodiesterase
作者:Cox, P.J.; Bower, S.; Aldous, D.J.; Astles, P.C.; McGarry, D.G.; Hulme, C.; Regan, J.R.; Huang, F.-C.; Djuric, S.W.; Moriarty, K.J.; Mathew, R.M.; Poli, G.B. (Aventis Pharma SA)
来源:EP 0934307; JP 2000509719; WO 9748697
合成路线图解说明:

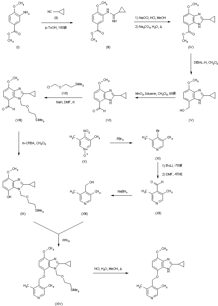
Condensation of methyl 3-amino-4-methoxybenzoate (I) with cyclopropyl cyanide (II) in the presence of p-toluenesulfonic acid at 180 C gave amidine (III). Subsequent reaction of (III) with sodium hypochlorite in methanolic HCl, followed by treatment of the intermediate chloroimine with aqueous Na2CO3, furnished the benzimidazole (IV). The ester group of (IV) was reduced to alcohol (V) with DIBAL-H, and then oxidized to aldehyde (VI) using activated MnO2. Protection of the imidazole N-H of (VI) was effected by means of 2-(trimethylsilyl)ethoxymethyl chloride (VII) and NaH to afford the 1-(2-trimethylsilyl)ethoxymethylimidazole (VIII) accompanied by some amounts of the 3-substituted analogue. The Baeyer-Villiger rearrangement of the formyl group employing m-chloroperbenzoic acid then produced phenol (IX), together with the 3-protected imidazole. The pyridylmethanol derivative (XIII) was obtained from 4-nitro-3,5-dimethylpyridine N-oxide (X) through conversion to the bromopyridine (XI) with PBr3, followed by lithium-halogen exchange and condensation with DMF to give aldehyde (XII), and then reduction of (XII) with NaBH4 to (XIII). Condensation of the hydroxybenzimidazole (IX) with pyridylmethanol (XIII) using diisopropylazodicarboxylate and triphenylphosphine gave ether (XIV), which was finally deprotected with HCl in boiling aqueous methanol to yield the target compound.

Drug Information Express,Drug R&D,Chemical Database,Patent Search.
Copyright © 2006-2026 Drug Future. All rights reserved.Contact Us