【药物名称】CP-248
化学结构式(Chemical Structure):
参考文献No.35282
标题:Substd. benzylidene indenyl formamides, acetamides and propionamides
作者:Sperl, G.; Gross, P.; Brendel, K.; Pamucku, R.; Piazza, G.A. (University of Arizona)
来源:WO 9747303
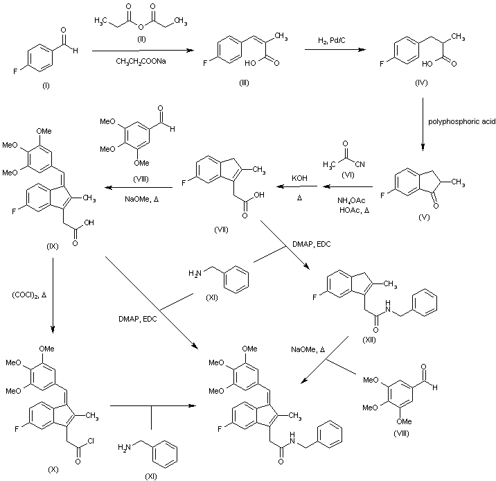
合成路线图解说明:

Heating p-fluorobenzaldehyde (I) with propionic anhydride (II) in the presence of sodium propionate affords methyl cinnamic acid derivative (III), which is then hydrogenated over Pd/C in EtOH to provide methyl hydrocinnamic acid derivative (IV). Ring closure of (IV) is then performed by heating with polyphosphoric acid to yield methylindanone derivative (V). Condensation of (V) with cyanoacetic acid (VI) by means of ammonium acetate and HOAc in refluxing toluene, followed by treatment with KOH in refluxing EtOH, provides acetic acid derivative (VII), which is then condensed with 3,4,5-trimethoxybenzaldehyde (VIII) by heating with NaOMe in MeOH to give substituted benzylidene derivative (IX). The target product can be finally obtained either by direct condensation of (IX) with benzylamine (XI) by means of DMAP and EDC in DMA or by first conversion of (IX) into the corresponding acetyl chloride by reaction with oxalyl chloride in refluxing THF, followed by coupling with benzylamine (XI) in CH2Cl2. Alternatively, the desired compound can also be obtained by coupling of acetic acid derivative (VII) with benzylamine (XI) by means of DMAP, EDC in DMA to afford N-benzyl acetamide derivative (XII), followed by condensation with 3,4,5-trimethoxybenzaldehyde (VIII) by heating with NaOMe in MeOH.

Drug Information Express,Drug R&D,Chemical Database,Patent Search.
Copyright © 2006-2026 Drug Future. All rights reserved.Contact Us