【药物名称】ALX-0501
化学结构式(Chemical Structure):
参考文献No.35055
标题:Thiophene- and furan-tryptamine derivs.
作者:Meng, Q.; Slassi, A.; Rakhit, S. (NPS Allelix Corp.)
来源:WO 9743281
合成路线图解说明:

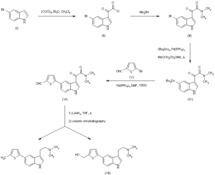
Condensation of 5-bromoindole (I) with oxalyl chloride produced (5-bromo-3-indolyl)glyoxyl chloride (II), which was subsequently treated with dimethylamine to give amide (III). Conversion of (III) to the tributylstannyl derivative (IV) was achieved by reaction with hexabutylditin in the presence of tetrakis(triphenylphosphine) palladium in refluxing dimethoxyethane. Palladium-catalyzed coupling of stannyl indole (IV) with 5-bromo-2-thiophenecarboxaldehyde (V) furnished the thienyl indole (VI). Finally, reduction of (VI) with LiAlH4 in boiling THF produced a mixture of the desired 5-methylthiophene derivative along with the 5-(hydroxymethyl) analogue (VII), that were separated by column chromatography.

参考文献No.582848
标题:5-Thienyltryptamine derivatives as serotonin 5-HT1B/1D receptor agonists: Potential treatments for migraine
作者:Meng, C.Q.; Rakhit, S.; Lee, D.K.H.; Kamboj, R.; McCallum, K.L.; Mazzocco, L.; Dyne, K.; Slassi, A.
来源:Bioorg Med Chem Lett 2000,10(9),903
合成路线图解说明:

Condensation of 5-bromoindole (I) with oxalyl chloride produced (5-bromo-3-indolyl)glyoxyl chloride (II), which was subsequently treated with dimethylamine to give amide (III). Conversion of (III) to the tributylstannyl derivative (IV) was achieved by reaction with hexabutylditin in the presence of tetrakis(triphenylphosphine) palladium in refluxing dimethoxyethane. Palladium-catalyzed coupling of stannyl indole (IV) with 5-bromo-2-thiophenecarboxaldehyde (V) furnished the thienyl indole (VI). Finally, reduction of (VI) with LiAlH4 in boiling THF produced a mixture of the desired 5-methylthiophene derivative along with the 5-(hydroxymethyl) analogue (VII), that were separated by column chromatography.

Drug Information Express,Drug R&D,Chemical Database,Patent Search.
Copyright © 2006-2026 Drug Future. All rights reserved.Contact Us