【药物名称】SM-20302
化学结构式(Chemical Structure):
参考文献No.35015
标题:2,3-Diaminopropionic acid deriv.
作者:Ikeda, Y.; Ueki, Y.; Kishimoto, H.; Nishihara, T.; Kamikawa, Y. (Sumitomo Pharmaceuticals Co., Ltd.)
来源:US 5707994; US 6048854; WO 9511228
合成路线图解说明:

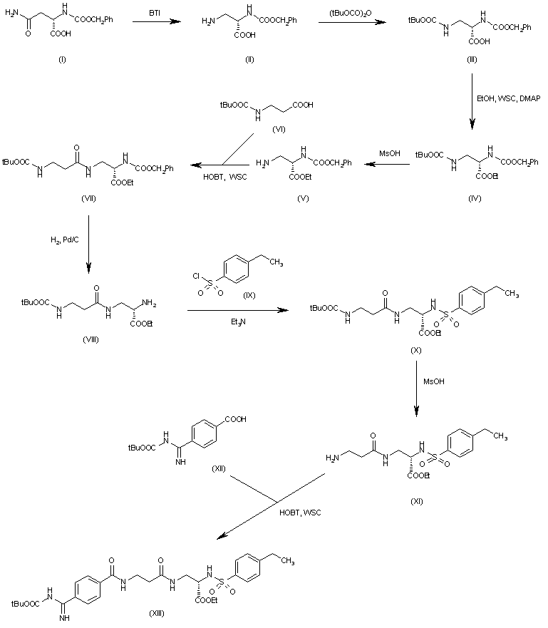
The reaction of N-(benzyloxycarbonyl)-L-asparagine (I) with bis(trifluoroacetyl)iodobenzene (BTI) in DMF/water gives 3-amino-2(S)-(benzyloxycarbonylamino)propionic acid (II), wehich is protected at the amino group with tert-butoxycarbonyl anhydride yielding carbamate (III). The esterification of (III) with ethanol WSC and DMAP affords the expected ethyl ester (IV), which is selectively deprotected with methanesulfonic acid in acetonitrile providing 3-amino-2-(benzyloxycarbonylamino)propionic acid ethyl ester (V). The condensation of (V) with N-(tert-butoxycarbonyl)-beta-alanine (VI) by means of HOBT, WSC and triethylamine in DMF gives the protected propionamidopropionic ester (VII), which is selectively deprotected by hydrogenation with H2 over Pd/C in ethanol/ethyl acetate giving the 2-aminopropionic ester (VIII). The condensation of (VIII) with 4-ethylbenzenesulfonyl chloride (IX) by means of triethylamine in dichloromethane yields the sulfonamide (X), which is deprotected with methanesulfonic acid as before afording intermediate (XI) with a free amino group, which is condensed with 4-(tert-butoxycarbonylamino)benzoic acid (XII) by means of HOBT and WSC in DMF providing the fully protected target compound (XIII).

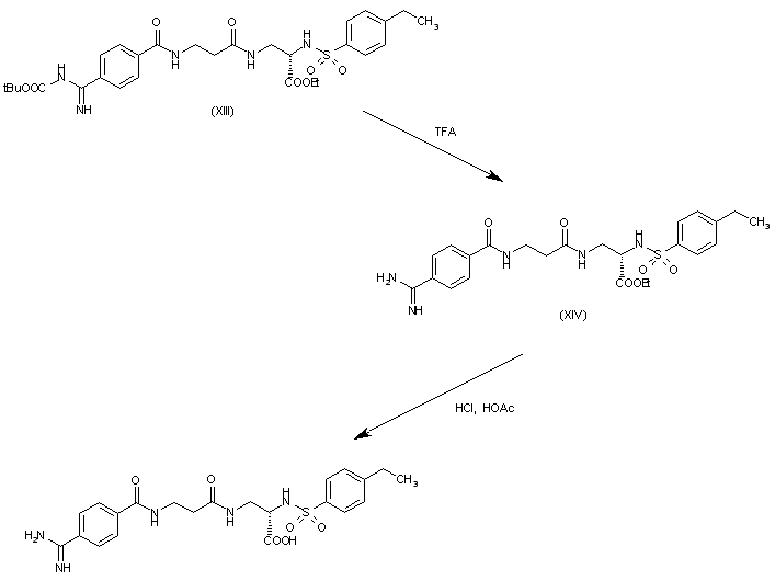
合成路线图解说明:

The deprotetion of (XIII) first with trifluoroacetic acid gives the ethyl ester (XIV), which is finally hydrolyzed with HCl in hot acetic acid.

合成路线图解说明:

The intermediate 4-(tert-butoxycarbonylamindino)benzoic acid (XII) has been obtained as follows: Comerciaally available 4-amidinobenzamide (XV) is hydrolyzed with aqueous HCl to give 4-amidinobenzoic acid (XVI), which is then treated with tert-butoxycarbonyl anhydride and N,O-bis(trimethylsilyl)acetamide in dichloromethane to afford the target intermediate (XII).

Drug Information Express,Drug R&D,Chemical Database,Patent Search.
Copyright © 2006-2026 Drug Future. All rights reserved.Contact Us