【药物名称】S-303
化学结构式(Chemical Structure):
参考文献No.55541
标题:Frangible cpds. for pathogen inactivation
作者:Wollowitz, S.; Rapoport, H.; Cook, D.; Merritt, J.; Neiro, A.; Stassinopoulos, A.; Matejovic, J. (Cerus Corp.)
来源:WO 9830545
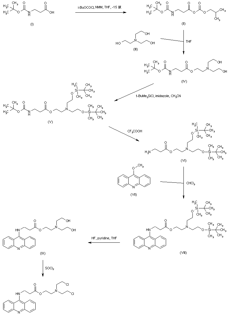
合成路线图解说明:

Activation of N-Boc-beta-alanine (I) as the mixed anhydride (II) with isobutyl chloroformate, followed by condensation with triethanolamine (III), furnished the [bis(2-hydroxyethyl)amino]ethyl ester (IV). Silylation of the free hydroxyl groups of (IV) by means of tert-butyldimethylsilyl chloride and imidazole afforded the bis-silylether (V). The N-Boc protecting group of (V) was then selectively removed upon treatment with trifluoroacetic acid to give amino ester (VI). This was subsequently coupled with 9-methoxyacridine (VII), yielding adduct (VIII), which was further desilylated with HF/pyridine. The resultant bis(hydroxyethyl) derivative (IX) was finally converted to the target dichloro compound by treatment with thionyl chloride.

Drug Information Express,Drug R&D,Chemical Database,Patent Search.
Copyright © 2006-2026 Drug Future. All rights reserved.Contact Us