【药物名称】YM-128, YM-68128
化学结构式(Chemical Structure):
参考文献No.35200
标题:Substd. amidinobenzene derivs. and medicinal compsns. thereof
作者:Matsumoto, Y.; Akamatsu, S.; Ichihara, M.; Kawasaki, T.; Kaku, S.; Yanagisawa, I. (Merck Patent GmbH; Yamanouchi Pharmaceutical Co., Ltd.)
来源:EP 0905129; US 6057324; WO 9745413
合成路线图解说明:

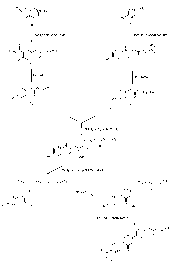
Alkylation of methyl 4-oxo-3-piperidinecarboxylate (I) with ethyl bromoacetate provided piperidineacetate (II). Subsequent decarbomethoxylation of (II) using LiCl in boiling DMF produced piperidone (III). On the other hand, coupling between 4-aminobenzonitrile (IV) and N-Boc-glycine (V) via activation with carbonyldiimidazole gave amide (V). The Boc group of (V) was then deprotected with HCl in EtOAc to yield 2-amino-N-(4-cyanophenyl)acetamide (VI). Reductive condensation of amine (VI) with piperidone (III) employing NaBH(OAc)3 furnished adduct (VII), which was further reductocondensed with chloroacetaldehyde to give chloroethyl amine (VIII). Cyclization of (VIII) in the presence of NaH generated piperazinone (IX). Finally, addition of hydroxylamine to the cyano group of (IX) provided the corresponding hydroxyamidine.

参考文献No.558183
标题:Novel orally active GPIIb/IIIa antagonists: Synthesis and structure-activity relationship studies of oxopiperazine derivatives
作者:Suzuki, K.; Tsukamoto, S.; Yanagisawa, I.; Matsumoto, Y.; Ichihara, M.; Akamatsu, S.; Kaku, S.; Kawasaki, T.
来源:Symp Med Chem 1999,Abst 1P-02
合成路线图解说明:

Alkylation of methyl 4-oxo-3-piperidinecarboxylate (I) with ethyl bromoacetate provided piperidineacetate (II). Subsequent decarbomethoxylation of (II) using LiCl in boiling DMF produced piperidone (III). On the other hand, coupling between 4-aminobenzonitrile (IV) and N-Boc-glycine (V) via activation with carbonyldiimidazole gave amide (V). The Boc group of (V) was then deprotected with HCl in EtOAc to yield 2-amino-N-(4-cyanophenyl)acetamide (VI). Reductive condensation of amine (VI) with piperidone (III) employing NaBH(OAc)3 furnished adduct (VII), which was further reductocondensed with chloroacetaldehyde to give chloroethyl amine (VIII). Cyclization of (VIII) in the presence of NaH generated piperazinone (IX). Finally, addition of hydroxylamine to the cyano group of (IX) provided the corresponding hydroxyamidine.

Drug Information Express,Drug R&D,Chemical Database,Patent Search.
Copyright © 2006-2026 Drug Future. All rights reserved.Contact Us