【药物名称】CGP-40774, JBT-3002, JENACT
化学结构式(Chemical Structure):
参考文献No.21196
标题:Aminosulphonic acid derivs. and process for their preparation
作者:Baschang, G.; Hartmann, A. (Novartis AG)
来源:EP 0548024; JP 1993255239; US 5342977
合成路线图解说明:

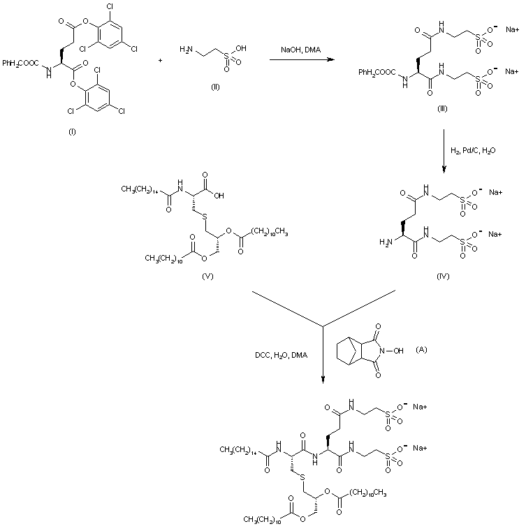
The condensation of N-(benzyloxycarbonyl)-L-glutamic acid bis(2,4,6-trichlorophenyl) ester (I) with taurine (II) in the presence of NaOH provided diamide (III). After deprotection of the benzyloxycarbonyl group of (III) by hydrogenolysis over Pd/C, the resulting amine (IV) was coupled with N-palmitoyl-S-(2,3-dilauroyloxypropyl)cysteine (V) using N,N'-dicyclohexylcarbodiimide and N-hydroxynorbornan-2,3-dicarboximide (A) to furnish the title compound.

Drug Information Express,Drug R&D,Chemical Database,Patent Search.
Copyright © 2006-2026 Drug Future. All rights reserved.Contact Us