【药物名称】Cangrelor sodium, AR-C69931MX
化学结构式(Chemical Structure):
参考文献No.24514
标题:N-Alkyl-2-substd. ATP analogues
作者:Ingall, A.H.; Cage, P.A.; Kindon, N.D. (Celltech Medeva plc)
来源:EP 0683789; JP 1996506335; US 5721219; WO 9418216
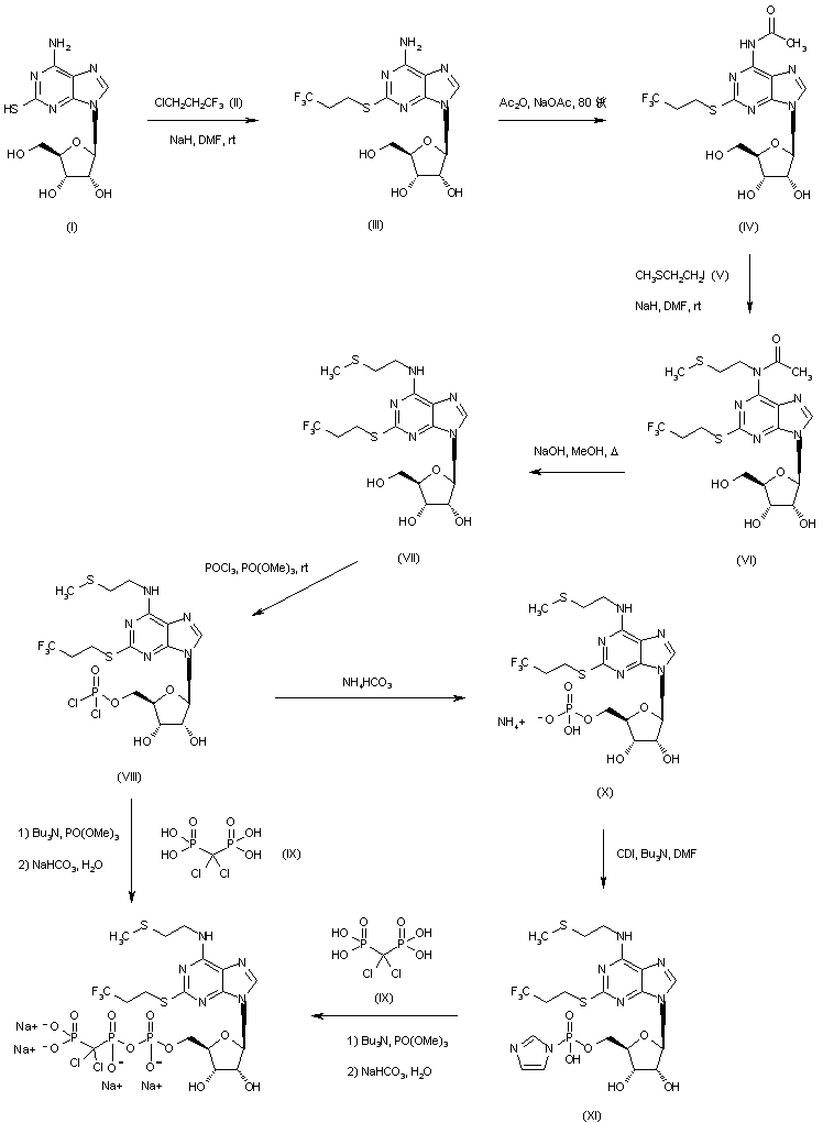
合成路线图解说明:

2-Mercaptoadenosine (I) was S-alkylated with 1-chloro-3,3,3-trifluoropropane (II) in the presence of NaH to give trifluoropropyl sulfide (III). Subsequent acetylation of (III) with Ac2O at 80 C provided (IV), which was N-alkylated with methylthioethyl iodide (V) and NaH yielding (VI). Further hydrolysis of the resulting (VI) with 0.1 M NaOH in refluxing MeOH furnished adenosine derivative (VII). The 5'-hydroxyl group of (VII) was then phosphorylated by reaction with phosphoryl chloride in cold triethyl phosphate followed by aqueous work-up. The resulting 5'-monophosphate (VIII) was treated with carbonyl diimidazole and tri-n-butylamine to produce the phosphoryl imidazole intermediate (IX), which was finally condensed with dichloromethylenebis(phosphonic acid) (X). The target compound was isolated as the tetrasodium salt upon treatment with NaI in methanol-acetone.

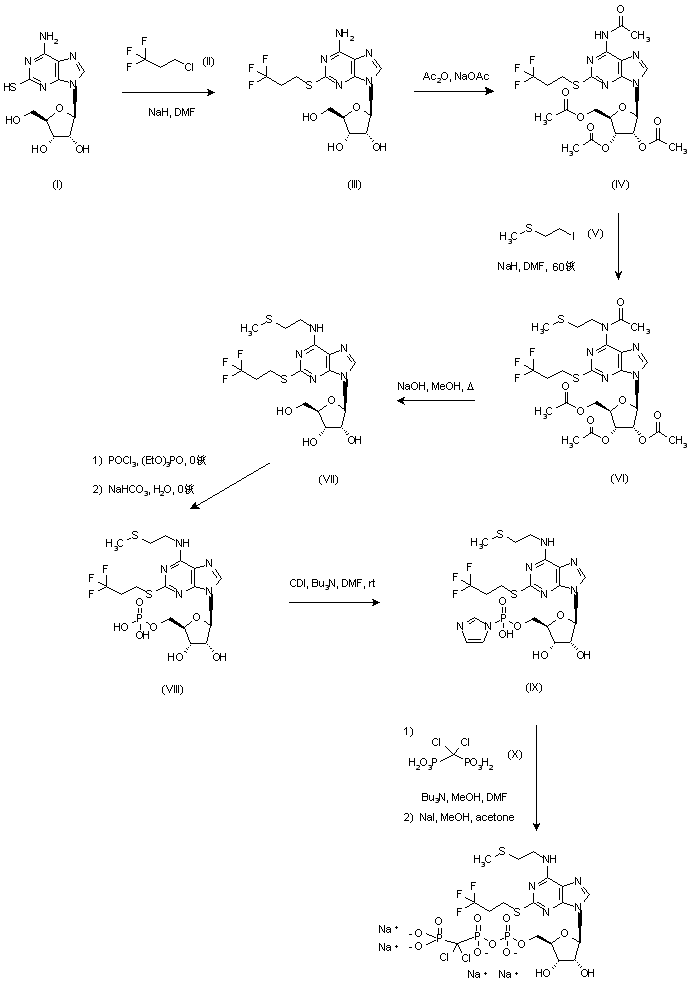
合成路线图解说明:

Alkylation of mercaptopurine (I) with 3-chloro-1,1,1-trifluoropropane (II) in the presence of NaH gave thioether (III). After protection of the amino group of (III) as the acetamide (IV) by means of Ac2O and NaOAc, N-alkylation with 2-(methylthio)ethyl iodide (V) yielded (VI), which was deacetylated by hydrolysis with NaOH in refluxing MeOH. Subsequent treatment with POCl3 produced the intermediate phosphoryl chloride (VIII). Then, condensation of this acid chloride with dichloromethylene bisphosphonic acid (IX) in the presence of tributylamine in triethyl phosphate yielded the title compound, which was isolated as the tetrasodium salt. Alternatively, hydrolysis of acid chloride (VIII) in the presence of ammonium bicarbonate gave phosphate salt (X), which was treated with carbonyldiimidazole, and the activated intermediate (XI) was then condensed with bisphosphonate (IX) to furnish the target compound.

参考文献No.482161
标题:SAR studies on AR-C 69931MX, a potent and selective intravenous anti-aggregatory/anti-thrombotic agent with a novel mechanism of action
作者:Cage, P.A.; Bailey, A.; Kindon, N.D.; et al.
来源:15th European Federation for Medicinal Chemistry International Symposium on Medicinal Chemistry (Sept 6 1998, Edinburgh) 1998,Abst P.281
合成路线图解说明:

2-Mercaptoadenosine (I) was S-alkylated with 1-chloro-3,3,3-trifluoropropane (II) in the presence of NaH to give trifluoropropyl sulfide (III). Subsequent acetylation of (III) with Ac2O at 80 C provided (IV), which was N-alkylated with methylthioethyl iodide (V) and NaH yielding (VI). Further hydrolysis of the resulting (VI) with 0.1 M NaOH in refluxing MeOH furnished adenosine derivative (VII). The 5'-hydroxyl group of (VII) was then phosphorylated by reaction with phosphoryl chloride in cold triethyl phosphate followed by aqueous work-up. The resulting 5'-monophosphate (VIII) was treated with carbonyl diimidazole and tri-n-butylamine to produce the phosphoryl imidazole intermediate (IX), which was finally condensed with dichloromethylenebis(phosphonic acid) (X). The target compound was isolated as the tetrasodium salt upon treatment with NaI in methanol-acetone.

合成路线图解说明:

Alkylation of mercaptopurine (I) with 3-chloro-1,1,1-trifluoropropane (II) in the presence of NaH gave thioether (III). After protection of the amino group of (III) as the acetamide (IV) by means of Ac2O and NaOAc, N-alkylation with 2-(methylthio)ethyl iodide (V) yielded (VI), which was deacetylated by hydrolysis with NaOH in refluxing MeOH. Subsequent treatment with POCl3 produced the intermediate phosphoryl chloride (VIII). Then, condensation of this acid chloride with dichloromethylene bisphosphonic acid (IX) in the presence of tributylamine in triethyl phosphate yielded the title compound, which was isolated as the tetrasodium salt. Alternatively, hydrolysis of acid chloride (VIII) in the presence of ammonium bicarbonate gave phosphate salt (X), which was treated with carbonyldiimidazole, and the activated intermediate (XI) was then condensed with bisphosphonate (IX) to furnish the target compound.

Drug Information Express,Drug R&D,Chemical Database,Patent Search.
Copyright © 2006-2026 Drug Future. All rights reserved.Contact Us