【药物名称】D-7193 (as di-L-lysine salt), D-7042, H-327/86
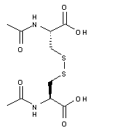
化学结构式(Chemical Structure):
参考文献No.16491
标题:The pharmacological use of certain cystine derivs.
作者:Andersson, C.-M.A.; Bergstrand, S.H.A.; Hallberg, A.R.; S鋜nstrand, B.O.; Tunek, P.A.S. (AstraZeneca plc)
来源:EP 0463514; EP 0532595; EP 0727207; JP 1992230359; JP 1993507705; US 5441976; US 5780508; WO 9118594
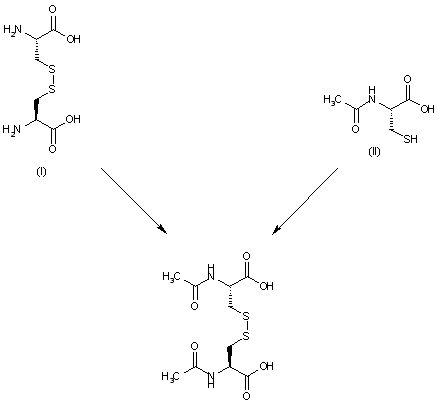
合成路线图解说明:

The title compound may be prepared either by acetylation of L-cystine (I) or by oxidative dimerization of N-acetylcysteine (II).

Drug Information Express,Drug R&D,Chemical Database,Patent Search.
Copyright © 2006-2026 Drug Future. All rights reserved.Contact Us