【药物名称】SR-121463A
化学结构式(Chemical Structure):
参考文献No.26306
标题:Derivs. of 1-benzenesulfonyl-1,3-dihydro-indol-2-one, their preparation and pharmaceutical compsns. containing them
作者:Di Malta, A.; Foulon, L.; Garcia, G.; Nisato, D.; Roux, R.; Serradeil-Legal, C.; Valette, G.; Wagnon, J. (Sanofi-Synth閘abo)
来源:CA 2129215; EP 0636608; FR 2708605; JP 1995247269
合成路线图解说明:

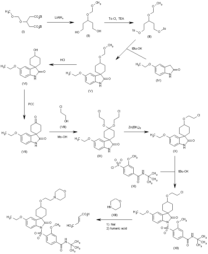
The reduction of diethyl 3-(methoxymethoxy)glutarate (I) with LiAlH4 in THF gives 3-(methoxymethoxy)pentane-1,5-diol (II), which is treated with Ts-OH and TEA in THF to yield the disulfonate (III). The condensation of (III) with 5-ethoxyindolin-2-one (IV) by means of tBu-OK in THF affords the spiro compound (V), which is deprotected with HCl in methanol to afford the spiranic alcohol (VI). The oxidation of (VI) with pyridinium chlorochromate (PCC) over Al2O3 provides the spiranic cyclohexanone (VII), which is treated with 2-chloroethanol (VIII) and Ms-OH in toluene to give the ketal (IX). The reaction of (IX) with zinc borohydride and trimethylsilyl chloride in ethyl ether/dichloromethane yields the 2-chloroethoxy derivative (X), which is condensed with 4-(N-tert-butylcarbamoyl)-2-methoxybenzenesulfonyl chloride (XI) by means of tBu-OK in THF to afford the adduct (XII). Finally, the target compound is obtained by condensation of (XII) with morpholine (XIII) by means of NaI in DMF, followed by treatment with fumaric acid.

参考文献No.33215
标题:3-Spiro-indolin-2-one derivs. as vasopressin and/or oxytocin receptor ligands
作者:Foulon, L.; Garcia, G.; Serradeil-Le Gal, C.; Valette, G. (Sanofi-Synth閘abo)
来源:EP 0873309; FR 2740136; JP 1999509232; JP 2001302631; US 5994350; WO 9715556
合成路线图解说明:

The reduction of diethyl 3-(methoxymethoxy)glutarate (I) with LiAlH4 in THF gives 3-(methoxymethoxy)pentane-1,5-diol (II), which is treated with Ts-OH and TEA in THF to yield the disulfonate (III). The condensation of (III) with 5-ethoxyindolin-2-one (IV) by means of tBu-OK in THF affords the spiro compound (V), which is deprotected with HCl in methanol to afford the spiranic alcohol (VI). The oxidation of (VI) with pyridinium chlorochromate (PCC) over Al2O3 provides the spiranic cyclohexanone (VII), which is treated with 2-chloroethanol (VIII) and Ms-OH in toluene to give the ketal (IX). The reaction of (IX) with zinc borohydride and trimethylsilyl chloride in ethyl ether/dichloromethane yields the 2-chloroethoxy derivative (X), which is condensed with 4-(N-tert-butylcarbamoyl)-2-methoxybenzenesulfonyl chloride (XI) by means of tBu-OK in THF to afford the adduct (XII). Finally, the target compound is obtained by condensation of (XII) with morpholine (XIII) by means of NaI in DMF, followed by treatment with fumaric acid.

参考文献No.635979
标题:Total synthesis of SR 121463 A, a highly potent and selective vasopressin V2 receptor antagonist
作者:Venkatesan, H.; Davis, M.C.; Altas, Y.; Snyder, J.P.; Liotta, D.C.
来源:J Org Chem 2001,66(11),3653
合成路线图解说明:

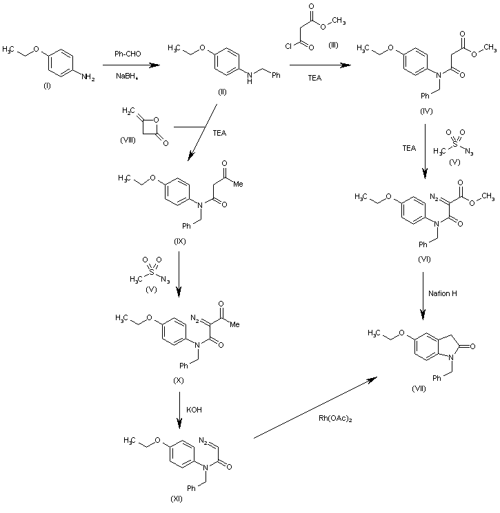
Indolinone intermediate (VII): 1. The reductoalkylation of 4-ethoxyaniline (I) with benzaldehyde and NaBH4 in methanol gives the protected aniline (II), which is condensed with methoxymalonyl chloride (III) by means of TEA in dichloromethane to yield the malonamic derivative (IV). The reaction of (IV) with methanesulfonyl azide (V) and TEA affords the diazo compound (VI), which is finally submitted to a decarboxylative cyclization by means of Nafion H (a perfluorinated ion exchange resin) to provide the target indolinone intermediate (VII). 2. The condensation of the protected aniline (II) with diketene (VIII) by means of TEA in THF gives the 3-oxobutyramide (IX), which is treated with methanesulfonyl azide (V) and TEA to yield the diazo compound (X). The deacylation of (X) with KOH in acetonitrile affords the diazoacetamide (XI), which is finally cyclized to the target indolinone intermediate (VII) by means of Rh(OAc)2 in dichloromethane.

合成路线图解说明:

Intermediate benzamide (XVI): The sulfonation of 3-hydroxybenzoic acid (XII) with SO3/H2SO4 gives 3-hydroxy-4-sulfobenzoic acid (XIII), which is methylated by means of Me2SO4 and KOH to yield the methoxybenzoic acid (XIV). The reaction of (XIV) with PCl5 affords the dichloride (XV), which is finally treated with tert-butylamine and TEA to provide the target benzamide intermediate (XVI).

合成路线图解说明:

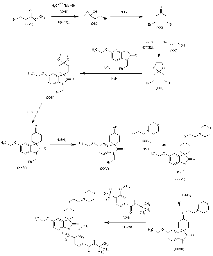
Assembly of the target compound: The reaction of methyl 3-bromopropionate (XVII) with ethylmagnesium bromide (XVIII) and Ti(iPrO)4 gives 1-(2-bromoethyl)cyclopropan-1-ol (XIX), which is brominated by NBS in CCl4 to yield 1,5-dibromo-3-pentanone (XX). The reaction of (XX) with ethylene glycol (XXI), HC(OEt)3 and PPTS affords the cyclic ketal (XXII), which is cyclized with the indolinone intermediate (VII) by means of NaH in DMF to provide the spiro compound (XXIII). The deprotection of (XXIII) with PPTS in acetone/water gives the spiranic diketone (XXIV), which is selectively reduced with NaBH4 in methanol to yield the spiro cyclohexanol (XXV). The condensation of (XXV) with 4-(2-chloroethyl)morpholine (XXVI) by means of NaH in hot toluene affords the corresponding ether (XXVII), which is debenzylated by means of Li/NH3 to provide intermediate (XXVIII) with a free NH group. Finally, the sulfonation of (XXVIII) with intermediate chlorosulfonyl benzamide (XVI) by means of potassium tert-butoxide gives the target sulfonyl benzamide compound.

Drug Information Express,Drug R&D,Chemical Database,Patent Search.
Copyright © 2006-2026 Drug Future. All rights reserved.Contact Us