【药物名称】Tesaglitazar, AZ-242, AR-H039242XX, Galida
化学结构式(Chemical Structure):
参考文献No.41402
标题:New 3-aryl-2-aryl propionic acid derivs. and analogs
作者:Andersson, K.; Boije, M.; Inghardt, T.; Lindstedt Alstermark, E.-L.; Gottfries, J.; Li, L. (AstraZeneca plc)
来源:EP 1084101; EP 1084102; EP 1084103; WO 9962870; WO 9962871; WO 9962872
合成路线图解说明:

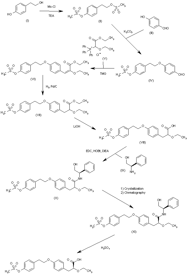
The reaction of 2-(4-hydroxyphenyl)ethyl alcohol (I) with Ms-Cl and TEA in dichloromethane gives the bis-methanesulfonate (II), which is condensed with 4-hydroxybenzaldehyde (III) by means of K2CO3 in acetonitrile to yield the substituted benzaldehyde (IV). The condensation of (IV) with phosphonium salt (V) by means of tetramethylguanidine (TMG) in chloroform affords the acrylic ester (VI), which is reduced with H2 over Pd/C in ethyl acetate to provide the propionic ester (VII). The hydrolysis of (VII) with LiOH in THF/water gives the propionic acid (VIII) as a racemic mixture, which is condensed with (R)-phenylglycinol (IX) by means of EDC, HOBt and DIEA in dichloromethane to yield the amide (X) as a diastereomeric mixture that is separated by crystallization and chromatography. The desired (S)-isomer (XI) is treated with H2SO4 in hot dioxane/water to furnish the target propionic acid.

合成路线图解说明:

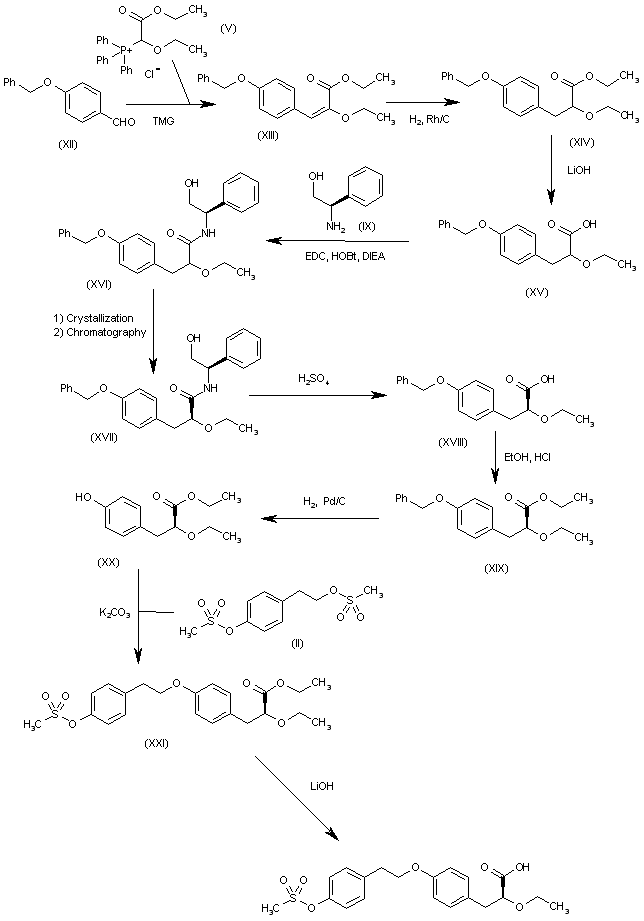
The condensation of 4-(benzyloxy)benzaldehyde (XII) with phosphonium salt (V) by means of TMG as before gives the acrylic ester (XIII), which is hydrogenated with H2 over Rh/C in methanol to yield the propionic ester (XIV). The hydrolysis of (XIV) with LiOH in dioxane/water affords the corresponding acid (XV) as a racemic mixture, which is condensed with (R)-phenylglycinol (IX) by means of EDC, HOBt and DIEA in dichloromethane to provide the amide (XVI) as a diastereomeric mixture that is separated by crystallization and chromatography. The desired (S)-isomer (XVII) is treated with H2SO4 in hot dioxane/water to furnish the chiral propionic acid (XVIII), which is esterified with EtOH and HCl to give the ethyl propionate (XIX). The hydrogenolysis of the benzyl ether group of (XIX) with H2 over Pd/C in ethyl acetate yields the phenolic derivative (XX), which is condensed with the bis-methanesulfonate by means of K2CO3 in acetonitrile to afford the adduct (XXI). Finally, the ester group of (XXI) is hydrolyzed with LiOH in THF/water to provide the target propionic acid.

参考文献No.64639
标题:Process for the preparation 3-aryl-2-hydroxypropionic acid deriv.
作者:Ioannidis, P.; Ehrl, R.; MacKintosh, W. (AstraZeneca AB)
来源:WO 0296865
合成路线图解说明:

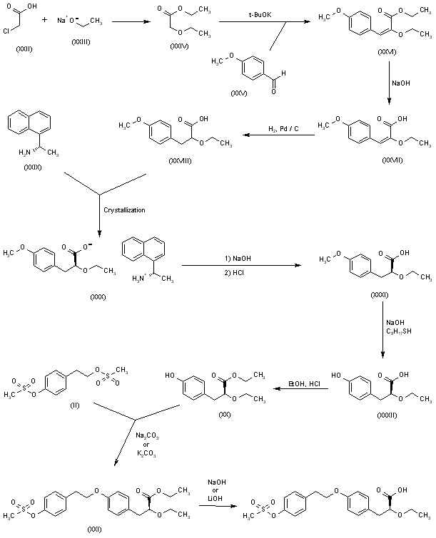
Reaction of chloroacetic acid (XXII) with sodium ethoxide (XXIII) in ethanol gives 2-ethoxyacetic acid ethyl ester (XXIV), which is condensed with 4-methoxybenz-aldehyde (XXV) by means of t-BuOK in THF to yield 2-ethoxy-3-(4-methoxyphenyl)-2-propenoic acid ethyl ester (XXVI). Hydrolysis of ester (XXVI) with NaOH in hot ethanol/water affords the propenoic acid derivative (XXVII), which is reduced with H2 over Pd/C in ethanol to provide racemic 2-ethoxy-3-(4-methoxyphenyl)propionic acid (XXVIII). Optical resolution of mixture (XXVIII) is performed by salt formation with 1(S)-(1-naphthyl)ethylamine (XXIX) followed by crystallization to give the diastereomeric salt (XXX), which is treated with NaOH, followed by acidification with HCl to yield 2(S)-ethoxy-3-(4-methoxyphenyl)propionic acid (XXXI). Demethylation of compound (XXXI) by reaction with NaOH and octanethiol in NMP affords 2(S)-ethoxy-3-(4-hydroxyphenyl)propionic acid (XXXII), which is esterified with ethanol/HCl to provide the corresponding ethyl ester (XXXIII). Condensation of ester (XXXIII) with the bismesylate (II) by means of either K2CO3 in 2-butanone or Na2CO3 in acetone provides 2(S)-ethoxy-3-[4-[2-[4-(methanesulfonyloxy)-phenyl]ethoxy]phenyl]propionic acid ethyl ester (XXI), which is finally hydrolyzed with NaOH or LiOH in acetone/water.

参考文献No.766538
标题:Tesaglitazar
作者:McIntyre, J.A.; Casta馿r, J.; Bay閟, M.
来源:Drugs Fut 2003,28(10),959
合成路线图解说明:

The reaction of 2-(4-hydroxyphenyl)ethyl alcohol (I) with Ms-Cl and TEA in dichloromethane gives the bis-methanesulfonate (II), which is condensed with 4-hydroxybenzaldehyde (III) by means of K2CO3 in acetonitrile to yield the substituted benzaldehyde (IV). The condensation of (IV) with phosphonium salt (V) by means of tetramethylguanidine (TMG) in chloroform affords the acrylic ester (VI), which is reduced with H2 over Pd/C in ethyl acetate to provide the propionic ester (VII). The hydrolysis of (VII) with LiOH in THF/water gives the propionic acid (VIII) as a racemic mixture, which is condensed with (R)-phenylglycinol (IX) by means of EDC, HOBt and DIEA in dichloromethane to yield the amide (X) as a diastereomeric mixture that is separated by crystallization and chromatography. The desired (S)-isomer (XI) is treated with H2SO4 in hot dioxane/water to furnish the target propionic acid.

合成路线图解说明:

The condensation of 4-(benzyloxy)benzaldehyde (XII) with phosphonium salt (V) by means of TMG as before gives the acrylic ester (XIII), which is hydrogenated with H2 over Rh/C in methanol to yield the propionic ester (XIV). The hydrolysis of (XIV) with LiOH in dioxane/water affords the corresponding acid (XV) as a racemic mixture, which is condensed with (R)-phenylglycinol (IX) by means of EDC, HOBt and DIEA in dichloromethane to provide the amide (XVI) as a diastereomeric mixture that is separated by crystallization and chromatography. The desired (S)-isomer (XVII) is treated with H2SO4 in hot dioxane/water to furnish the chiral propionic acid (XVIII), which is esterified with EtOH and HCl to give the ethyl propionate (XIX). The hydrogenolysis of the benzyl ether group of (XIX) with H2 over Pd/C in ethyl acetate yields the phenolic derivative (XX), which is condensed with the bis-methanesulfonate by means of K2CO3 in acetonitrile to afford the adduct (XXI). Finally, the ester group of (XXI) is hydrolyzed with LiOH in THF/water to provide the target propionic acid.

合成路线图解说明:

Reaction of chloroacetic acid (XXII) with sodium ethoxide (XXIII) in ethanol gives 2-ethoxyacetic acid ethyl ester (XXIV), which is condensed with 4-methoxybenz-aldehyde (XXV) by means of t-BuOK in THF to yield 2-ethoxy-3-(4-methoxyphenyl)-2-propenoic acid ethyl ester (XXVI). Hydrolysis of ester (XXVI) with NaOH in hot ethanol/water affords the propenoic acid derivative (XXVII), which is reduced with H2 over Pd/C in ethanol to provide racemic 2-ethoxy-3-(4-methoxyphenyl)propionic acid (XXVIII). Optical resolution of mixture (XXVIII) is performed by salt formation with 1(S)-(1-naphthyl)ethylamine (XXIX) followed by crystallization to give the diastereomeric salt (XXX), which is treated with NaOH, followed by acidification with HCl to yield 2(S)-ethoxy-3-(4-methoxyphenyl)propionic acid (XXXI). Demethylation of compound (XXXI) by reaction with NaOH and octanethiol in NMP affords 2(S)-ethoxy-3-(4-hydroxyphenyl)propionic acid (XXXII), which is esterified with ethanol/HCl to provide the corresponding ethyl ester (XXXIII). Condensation of ester (XXXIII) with the bismesylate (II) by means of either K2CO3 in 2-butanone or Na2CO3 in acetone provides 2(S)-ethoxy-3-[4-[2-[4-(methanesulfonyloxy)-phenyl]ethoxy]phenyl]propionic acid ethyl ester (XXI), which is finally hydrolyzed with NaOH or LiOH in acetone/water.

Drug Information Express,Drug R&D,Chemical Database,Patent Search.
Copyright © 2006-2026 Drug Future. All rights reserved.Contact Us