【药物名称】Tyrphostin B42, AG-490
化学结构式(Chemical Structure):
参考文献No.439983
标题:Tyrphostins. 2. Heterocyclic and alpha-substituted benzylidenemalononitrile tyrphostins as potent inhibitors of EGF receptor and ErbB2/neu tyrosine kinases
作者:Gazit, A.; Osherov, N.; Posner, I.; Yaish, P.; Poradosu, E.; Gilon, C.; Levitzki, A.
来源:J Med Chem 1991,34(6),1896
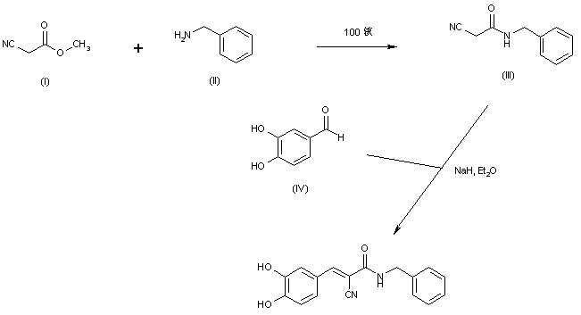
合成路线图解说明:

Reaction of methyl cyanoacetate (I) with benzylamine (II) at 100 C gives N-benzyl cyanoacetamide (III). Subsequent condensation of (III) with 3,4-dihydroxybenzaldehyde (IV) in the presence of NaH provides the title compound.

Drug Information Express,Drug R&D,Chemical Database,Patent Search.
Copyright © 2006-2026 Drug Future. All rights reserved.Contact Us