【药物名称】BXL-628, Ro-26-9228
化学结构式(Chemical Structure):
参考文献No.34968
标题:Vitamin D3 analogs
作者:Batcho, A.D.; Bryce, G.F.; Hennessy, B.M.; Iacobelli, J.A.; Uskokovic, M.R. (F. Hoffmann-La Roche AG)
来源:EP 0808833; JP 1998045713; US 5939408
合成路线图解说明:

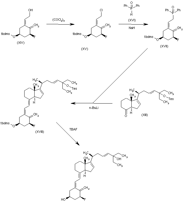
The reaction of the cyclohexylidene ethanol (XIV) with triphosgene gives the corresponding chloride (XV), which is condensed with diphenylphosphine oxide (XVI) by means of NaH in DMF to yield the alkyldiphenylphosphine oxide (XVII) (2). The condensation of (XVII) with the hexahydroindenone intermediate (XIII) by means of BuLi in THF affords the disilylated precursor (XVIII), which is finally deprotected by means of TBAF in THF.

参考文献No.46214
标题:Process for preparing anti-osteoporotic agents
作者:Radinov, R.N.; Daniewski, A.R. (F. Hoffmann-La Roche AG)
来源:EP 1048661; JP 2000336094
合成路线图解说明:

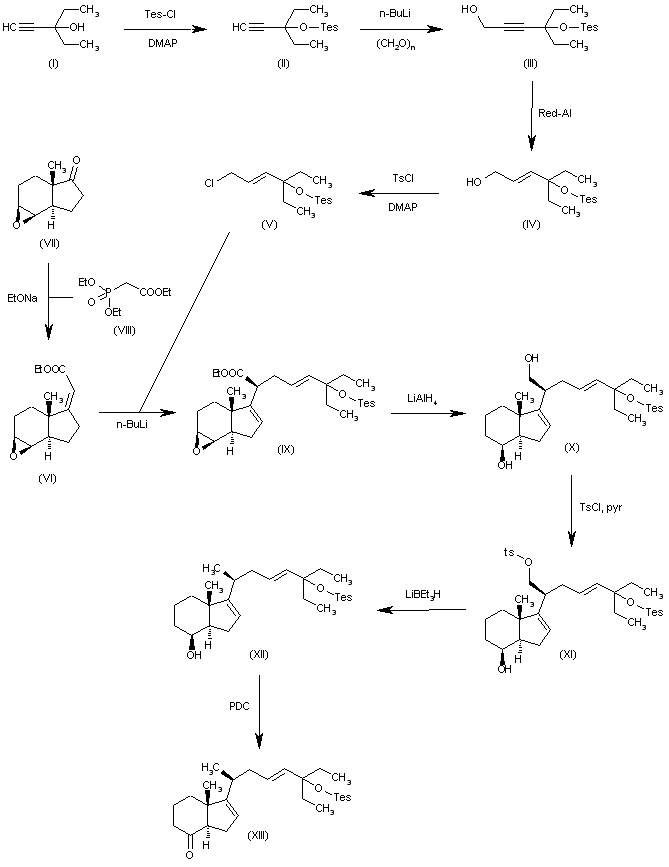
The indenone intermediate (XIII) has been obtained as follows: The silylation of 3-methyl-1-pentyn-3-ol (I) with Tes-Cl and DMAP in DMF gives the silyl ether (II), which is condensed with paraformaldehyde and n-BuLi in THF to yield the propargyl alcohol (III). Partial reduction of (III) with Red-Al in THF affords the allyl alcohol (IV), which is treated with Ts-Cl and DMAP in dichloromethane to provide the allyl chloride (V). The condensation of (V) with the unsaturated ester (VI) (obtained by Wittig condensation of perhydroindanone (VII) with triethyl phosphonoacetate (VIII) by means of EtONa) by means of BuLi and dicyclohexylamine in HMPA gives the octenoic ester (IX), which is reduced with LiAlH4, yielding the corresponding primary alcohol (X). The reaction of (X) with TsCl and pyridine affords the tosylate (XI), which is reduced with LiBEt3H in THF with simultaneous opening of the epoxide ring to provide the hexahydroindenol (XII). Finally, this compound is oxidized with pyridinium dichromate (PDC), yielding the target hexahydroindenone intermediate (XIII).

参考文献No.46215
标题:Phosphinoxide vitamin D precursors
作者:Kabat, M.M. (F. Hoffmann-La Roche AG)
来源:EP 1050537
合成路线图解说明:

The reaction of the cyclohexylidene ethanol (XIV) with triphosgene gives the corresponding chloride (XV), which is condensed with diphenylphosphine oxide (XVI) by means of NaH in DMF to yield the alkyldiphenylphosphine oxide (XVII) (2). The condensation of (XVII) with the hexahydroindenone intermediate (XIII) by means of BuLi in THF affords the disilylated precursor (XVIII), which is finally deprotected by means of TBAF in THF.

Drug Information Express,Drug R&D,Chemical Database,Patent Search.
Copyright © 2006-2026 Drug Future. All rights reserved.Contact Us