【药物名称】
化学结构式(Chemical Structure):
参考文献No.35105
标题:Diarylalkyl cyclic diamine derivs. as chemokine receptor antagonists
作者:Shiota, T.; Yamagami, S.; Kataoka, K.; Endo, N.; Tanaka, H.; Barnum, D.; Greene, J.; Moree, W.; Ramirez-Weinhouse, M.; Tarby, C. (Teijin Ltd.)
来源:EP 0914319; JP 1997309877; WO 9744329
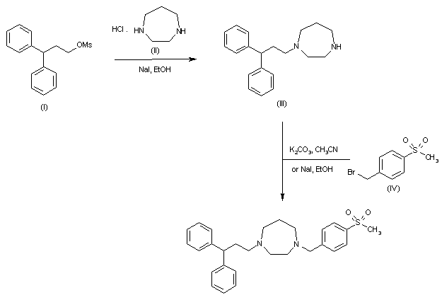
合成路线图解说明:

Reaction of 3,3-diphenylpropylmethanesulfonate (I) with homopiperazine hydrochloride (II) and NaI in ethanol provides compound (III), which is finally condensed with 4-(methylsulfonyl)benzyl bromide by means of K2CO3 in acetonitrile or by means of NaI in ethanol.

参考文献No.558193
标题:Chemokine receptor antagonistic activities and structure-activity relationship of novel homopiperazine derivatives
作者:Shiota, T.; et al.
来源:19th Symp Med Chem and 8th Annu Meet Div Med Chem Jpn (Nov 17-19, Tokyo) 1999,Abst 1P-10
合成路线图解说明:

Reaction of 3,3-diphenylpropylmethanesulfonate (I) with homopiperazine hydrochloride (II) and NaI in ethanol provides compound (III), which is finally condensed with 4-(methylsulfonyl)benzyl bromide by means of K2CO3 in acetonitrile or by means of NaI in ethanol.

Drug Information Express,Drug R&D,Chemical Database,Patent Search.
Copyright © 2006-2026 Drug Future. All rights reserved.Contact Us