【药物名称】RS-127445
化学结构式(Chemical Structure):
参考文献No.35104
标题:Aryl pyrimidine derivs.
作者:Berger, J.; Flippin, L.A.; Greenhouse, R.; Jaime-Figueroa, S.; Liu, Y.; Miller, A.K.; Putman, D.G.; Weinhardt, K.K.; Zhao, S.-H. (F. Hoffmann-La Roche AG)
来源:EP 0901474; US 5863924; WO 9744326
合成路线图解说明:

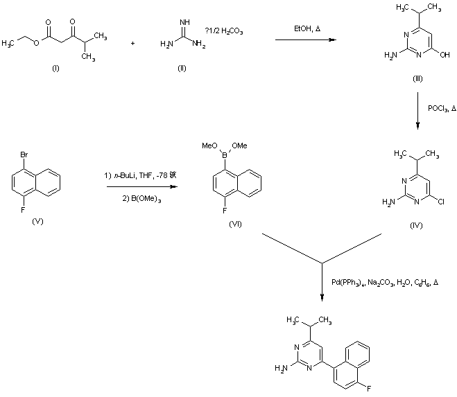
Cyclization of ethyl 4-methyl-3-oxopentanoate (I) with guanidine carbonate (II) in boiling EtOH gave 2-amino-4-hydroxy-6-isopropylpyrimidine (III), which was converted to the corresponding chloropyrimidine (IV) by means of POCl3. Boronic ester (VI) was prepared by lithiation of 1-bromo-4-fluoronaphthalene (V) with n-butyllithium, followed by reaction with trimethyl borate. Subsequent coupling of chloropyrimidine (IV) with boronic ester (VI) in the presence of tetrakis(triphenylphosphine)palladium yielded the target naphthylpyrimidine.

Drug Information Express,Drug R&D,Chemical Database,Patent Search.
Copyright © 2006-2026 Drug Future. All rights reserved.Contact Us